多面孔的柯西不等式
柯西(Cauchy,Augustin Louis,1789—1857),出生于巴黎,是法国数学家、物理学家、天文学家。尤其在数学领域,有很高的建树和造诣。很多数学的定理和公式也都以他的名字来称呼,如柯西不等式、柯西积分公式等。

柯西
19世纪初期,微积分已发展成一个庞大的分支,内容丰富,应用非常广泛。为解决新问题并澄清微积分概念,数学家们展开了数学分析严谨化的工作,在分析基础的奠基工作中,作出卓越贡献的要首推伟大的数学家柯西。柯西1789年8月21日出生于巴黎。父亲是一位精通古典文学的律师,与当时法国的大数学家拉格朗日与拉普拉斯交往密切。柯西少年时代的数学才华颇受这两位数学家的赞赏,并预言柯西日后必成大器。拉格朗日向其父建议“赶快给柯西一种坚实的文学教育”,以便他的爱好不致把他引入歧途。父亲因此加强了对柯西的文学修养,使他在诗歌方面也表现出很高的才华。正是柯西深厚的文学修养,使得柯西成为了一名多产的数学家。
柯西在数学上的最大贡献是在微积分中引进了极限概念,并以极限为基础建立了逻辑清晰的分析体系。这是微积分发展史上的精华,也是柯西对人类科学发展所作的巨大贡献。
柯西在其他方面的研究成果也很丰富。复变函数的微积分理论就是由他创立的。在代数方面、理论物理、光学、弹性理论方面,也有突出贡献。柯西的数学成就不仅辉煌,而且数量惊人。柯西全集有27卷,其论著有800多篇,在数学史上是仅次于欧拉的多产数学家。他的光辉名字与许多定理、准则一起被铭记在当今许多教材中。
作为一位学者,他思路敏捷,功绩卓著。从柯西卷帙浩大的论著和成果中,人们不难想象他一生是怎样孜孜不倦地勤奋工作。
1857年5月23日柯西在巴黎病逝。他临终的一句名言“人总是要死的,但是,他们的业绩永存。”长久地叩击着一代又一代学子的心扉。
“柯西不等式”就是柯西在研究数学分析中的“流数”问题时得到的。柯西不等式被列入我国高中数学教材,也是高中数学奥赛的重要内容之一,对学生数学思维和运算能力的提升非常重要。
普通高中课程标准实验教科书数学教材中,在选修4-5《不等式选讲》中,向学生介绍了柯西不等式。要求学生认识柯西不等式的几种不同形式,并能给出证明,理解其几何意义。教材的编写意图不是仅仅介绍其不等式和证明方法,而是希望通过分析、证明和解决问题,进一步讨论这一经典不等式的简单应用,提高学生运用重要数学结论进行推理论证的能力,此内容也是新课程高考选考内容之一。
如果我们深入探究柯西不等式,会发现其具有广泛的背景和丰富的内涵,与所学的众多数学知识都有内在的联系。下面通过给出柯西不等式的多种证明思路与方法,就可一览数学发散性思维和创造性思维的魅力。
1.柯西不等式的表示形式
(1)二维形式的柯西不等式通常被表示为如下形式:
(a2+b2)(c2+d2)≥(ac+bd)2(a,b,c,d∈R)
公式变形
等号成立条件:当且仅当ad=bc时取“=”。
(2)一般形式的柯西不等式:

当且仅当
时,等号成立。
(3)向量形式:

(4)三角形式:

2.柯西不等式的证明
柯西不等式不仅形式优美,而且具有重要的应用价值。我们选取二维形式的柯西不等式来研究。高中新课程教材数学选修4-5《不等式选讲》中,对此不等式给出了两种证明方法。
方法1:教科书从学生熟悉的基本不等式a2+b2≥2ab引入这一不等式。
由于不等式a2+b2≥2ab涉及平方和,联想到(a2+b2)(c2+d2)(a,b,c,d∈R)也与平方和有关,所以通过多项式的乘法和配方法,根据实数平方的非负性,可以证明二维形式的柯西不等式,这是代数证法。
证明:左边=(a2+b2)(c2+d2)=a2c2+b2d2+a2d2+b2c2
=(ac+bd)2+(ad-bc)2
由于(ad-bc)2≥0,可得(a2+b2)(c2+d2)≥(ac+bd)2=右边
由上可知,当且仅当ad-bc=0即ad=bc时,式中的等号成立。
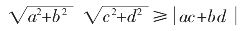
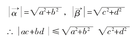
方法2:由二维柯西不等式,可以得出其等价形式:

联想向量
=(a,b),
=(c,d)的数量积的绝对值

可以推出向量不等式

证明:设向量
=(a,b),
=(c,d),a,b,c,d∈R

又∵
·
=(a,b)(c,d)=ac+bd

即(ac+bd)2≤(a2+b2)(c2+d2)
当且仅当
=1,即
//
,亦即ad=bc时,取“=”。
注:向量方法同时给出了二维柯西不等式的几何解释,即二维柯西不等式的几何意义是两个向量数量积的模不大于两个向量模的积。
方法3:分析柯西不等式
(a2+b2)(c2+d2)≥(ac+bd)2(a,b,c,d∈R)的结构。
可令ac+bd=B,a2+b2=2A,c2+d2=2C,原不等式可表示为B2-4AC≤0,联想到二次函数与一元二次方程根的判别式,可构造二次函数来证明柯西不等式。
证明:构造二次函数:
f(x)=(ax-c)2+(bx-d)2 (a,b,c,d∈R)
=(a2+b2)x2-2(ac+bd)x+(c2+d2)(a、b不同时为0)
由于对于一切x∈R,f(x)≥0,又a2+b2>0,所以有Δ≤0,
即4(ac+bd)2-4(a2+b2)(c2+d2)≤0
亦即(ac+bd)2≤(a2+b2)(c2+d2)
当且仅当ax-c=bx-d=0,即ad=bc时,不等式取等号。
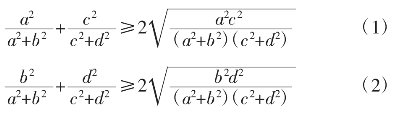
方法4:分析柯西不等式与均值不等式的关系,可利用均值不等式来证明柯西不等式。
证明:a,b,c,d∈R,a,b或c,d不同时为零,

(1)+(2)得

即(a2+b2)(c2+d2)≥(
≥(ac+bd)2
∴(a2+b2)(c2+d2)≥(ac+bd)2
当且仅当
时不等式取等号。
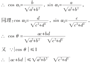
方法5:利用三角函数,联想锐角三角函数和两角和与差的公式,给出证明。
证明:首先设a,b,c,d∈R+,构造直角三角形如图:

则sin

∵cos(α-β)=cosαcosβ+sinαsinβ

由于
≤1

∴(a2+b2)(c2+d2)≥(ac+bd)2
当且仅当α=β即
亦即当ac=bd时不等式取等号,容易得到a,b,c,d∈R时,不等式仍然成立。
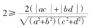
方法6:联想复数的运算和复数模的不等关系,可以证明柯西不等式。
证明:设复数z1=a+bi,z2=c-di,a,b,c,d∈R
则z1·z2=(ac+bd)+(bc-ad)i

∴(a2+b2)(c2+d2)≥(ac+bd)2
可以看出,当且仅当bc-ad=0即bc=ad时,不等式取等号。
方法7:由于柯西不等式的几何意义多与角和距离有关系,可利用解析几何中的相关距离公式给出证明。
证明:联想平面上两点间的距离公式和三角不等式。如右图

设ABC的坐标分别为O(0,0),A(a,b),B(-c,-d),a,b,c,d∈R+
则在ABO中,
即
两边平方整理得:
≥ac+bd>0
整理得:(a2+b2)(c2+d2)≥(ac+bd)2
显然当A、O、B共线时,即当bc=ad时等号成立。
同理,a,b,c,d∈R时,不等式亦成立。
方法8:由平面上点到直线的距离公式可证明柯西不等式。
证明:设直线l的方程为:ax+by=0,(a,b不全为0)
平面上任意一点为P(c,d),如图,
P到l的距离为
,显然
≤


∴(ac+bd)2≤(c2+d2)(a2+b2)
显然当PD与PO重合时,即PO⊥l时,由此推得bc=ad,不等式取等号。
方法9:由平面上两直线的夹角公式亦可证明柯西不等式。证明:设直线l1:ax-by=0,l2:cx-dy=0(b和d不能为0)
如图,设l1到l2的角为θ,l1的倾斜角为α1,l2的倾斜角为α2。
θ=α2-α1
cosθ=cos(α2-α1)=cosα1cosα2+sinα1sinα2
由直线l1:ax-by=0可知:tanα1=
(b≠0)


(ac+bd)2≤(a2+b2)(c2+d2)
显然,当l1与l2平行或重合时,即
=
⇒ad=bc时,原不等式取等号。
方法10:构造平面几何图形,给出柯西不等式的证明。
证明:设a,b,c,d∈R+,构造矩形ABCD如图,EF∥AB,GH∥BC,EF⊥GH,EF与GH相交于O,连接AO、OC、AC,可得AO+OC≥AC,

即
整理得:(a2+b2)(c2+d2)≥(ac+bd)2
显然A、O、C共线,即
=
⇒ad=bc时,不等式取等号。
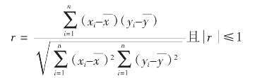
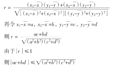
方法11:联想统计中变量间的相关关系,相关系数r的计算公式为:

令n=2,得

即(ac+bd)2≤(a2+b2)(c2+d2)
注:此证法反映了统计关系与柯西不等式的内在联系。
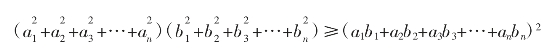
由二维形式的柯西不等式的证明可推广到一般形式的柯西不等式,这是从特殊到一般的认识过程。即

通过类比与推广,一般的柯西不等式我们也可采用以上的部分方法来进行证明。
通过以上不同方法的证明,使我们进一步认识到柯西不等式作为经典不等式与各学科知识的内在联系,也从中认识到了从特殊到一般、数形结合、联想类比、等价转换等认识事物、发现创新的规律与方法,进而增强读者的探究与创新的意识和冲动。