刘徽割圆术与极限思想
圆是平面几何中最基本的图形之一,也是现实生活中最常见的图形,有关圆的研究已有三千多年的历史了。
“圆,一中同长也”。意思是说:圆只有一个中心,圆周上每一点到中心的距离相等。早在我国先秦时期,《墨经》上就已经给出了圆的这个定义,而公元前11世纪,我国西周时期数学家商高也曾与周公讨论过圆与方的关系。认识了圆,人们也就开始了有关于圆的种种计算,特别是计算圆周率与圆的面积。
对圆周率的研究,从古希腊就开始了。但是在古代,最有名的圆周率应当属中国三国时期的数学家刘徽的“徽率”和南北朝时期的数学家祖冲之的“祖率”。刘徽给出的圆周率精确到了小数点后3位,即3.141,在当时的世界范围内已是最先进的计算值,最重要的是刘徽还给出了科学的计算方法,就是割圆术。当然在圆周率的计算历史上,祖冲之的成就更是举世公认的,他给出的圆周率,已经精确到小数点后七位,而且保持了近一千年的历史。有了圆周率,圆的很多问题才得以解决,如圆的周长,圆的面积,圆弧的长,扇形的面积,圆柱的表面积与体积,圆锥的表面积与体积,球面的面积,球体的体积,球面的距离等。
计算圆的周长与圆的面积是一个最常见的问题,现在人们只要代入公式2πr、πr2就很轻松地得到了答案。那么你知道这些公式是怎么得到的呢?前人是用什么方法得出了这些精确的公式?中国古代数学家刘徽的“割圆术”就是其中最有代表性的计算方法之一。
刘徽(约公元225年—295年),汉族,山东邹平县人,中国古代三国后期魏国人,是中国数学史上一位非常伟大的数学家,中国古典数学理论的奠基人之一。刘徽思维敏捷,方法灵活,既提倡推理又主张直观。他是中国最早明确主张用逻辑推理的方式来论证数学命题的人。刘徽的一生是为数学刻苦探求的一生,他虽然地位低下,但人格高尚。他不是沽名钓誉的庸人,而是学而不厌的伟人,他给我们中华民族留下了宝贵的财富。他的杰作《九章算术注》和《海岛算经》,是中国最宝贵的数学遗产之一。
《九章算术》是中国流传至今最古老的数学专著之一,是中国最重要的一部经典数学著作,它的完成奠定了中国古代数学发展的基础,在中国数学史上占有极为重要的地位。根据刘徽的考证结果,《九章算术》源于周公时代的“九数”,而他所见到的《九章算术》是西汉时的张苍、耿寿昌在先秦遗文的基础上删补而成的,其中包括了大量西汉时补充的内容。《九章算术》也是由国家组织力量编纂的一部官方性数学教科书,对两汉时期数学的发展产生了很大的影响。《九章算术》不仅在中国数学史上占有重要地位,对世界数学的发展也有着重要的贡献。
刘徽的代表作《九章算术注》是对《九章算术》一书的注解。《九章算术》因解法比较原始,缺乏必要的证明,刘徽的《九章算术注》不仅在整理古代数学体系和完善古算理论方面取得了重要成就,而且提出了丰富多彩的创见和发明。刘徽在算术、代数、几何等方面都有杰出的贡献。
刘徽的突出贡献之一,就是首创了“割圆术”。
刘徽在《九章算术注》中,用割圆术证明了圆面积的精确公式,并给出了计算圆周率的科学方法。
所谓“割圆术”,就是不断倍增圆内接正多边形的边数,即将圆周用内接或外切正多边形无限逼近圆的一种求圆面积和圆周率的方法。

刘徽
他首先从圆内接正六边形开始割圆,依次得到正12边形、正24边形……每次边数倍增,使正多边形的面积逐渐接近圆的面积,算到192边形的面积时,得到

π=157/50=3.14
刘徽不畏艰难,又继续算到3072边形的面积时,得到
π=3927/1250=3.1416
此时,圆周率已经精确到小数点后3位,史上称这一结果为“徽率”。
如果继续分割,割得越细,正多边形面积和圆面积之差越小,用刘徽的原话说是“割之弥细,所失弥少,割之又割,以至于不可割,则与圆周合体而无所失矣。”他就是用这种思想手工计算了3072边形的面积并验证了这个值。
刘徽提出的计算圆周率的科学方法,为计算圆周率建立了严密的理论和完善的算法,奠定了此后一千余年来中国圆周率计算在世界上的领先地位。
《九章算术》在第一章“方田章”中写道:“半周半径相乘得积步”,也就是我们现在所熟悉的圆的面积公式:
圆的面积=半周×半径=πr×r=πr2。
原书没有给出证明,为了证明这个公式,刘徽在《九章算术注》中这一公式后面写了一篇1800余字的注记,这篇注记就是数学史上著名的“割圆术”。

刘徽割圆术示意图
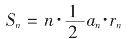
也就是说,为了计算圆的面积,先计算圆内接正多边形的面积。设圆内接正多边形的边数为n,边长为AB=an,边心距为OC=rn,则正多边形的面积为

随着边数n的无限增加,则nan就无限趋近于圆的周长,rn就无限趋近于圆的半径r,此时正多边形的面积就无限地趋近于圆的面积S。
所以,S=半周×半径=πr×r=πr2。
根据“圆周长/圆直径=圆周率”,那么圆周长=圆直径×圆周率=2×半径×圆周率,这就是我们熟悉的圆周长=2πr的来由。
由于“圆周率=圆周长/圆直径”,其中“直径”是直的,好测量;难以计算精确的是“圆周长”。而通过刘徽的“割圆术”,这个难题解决了。只要认真、耐心地精算出圆周长,就可得出较为精确的“圆周率”了。
中国古代从先秦时期开始,一直是取“周三径一”(即圆周周长与直径的比率为三比一)的数值来进行有关圆的计算。但用这个数值进行计算的结果,往往误差很大。正如刘徽所说,用“周三径一”计算出来的圆周长,实际上不是圆的周长而是圆内接正六边形的周长,其数值要比实际的圆周长小得多。刘徽以极限思想为指导,提出用“割圆术”来求圆周率,既大胆创新,又严密论证,从而为圆周率的计算指出了一条科学的道路。
在刘徽看来,在割圆术中,越是把圆周分割得细,误差就越少,其内接正多边形的周长就越是接近圆周。如此不断地分割下去,一直到圆周无法再分割为止,也就是到了圆内接正多边形的边数无限多的时候,它的周长就与圆周“合体”而完全一致了。
刘徽对自己创造的这个“割圆术”新方法非常自信,把它推广到有关圆形计算的各个方面,从而使汉代以来的数学发展大大向前推进了一步。在这方面,中国南北朝时期的大数学家祖冲之对圆周率的计算走在了世界前列。
到了南北朝时期,祖冲之在刘徽的这一基础上继续努力,终于使圆周率精确到了小数点以后的第七位,即π=3.1415926,史称“祖率”。在西方,这个成绩是由法国数学家韦达于1593年取得的,比祖冲之晚了一千一百多年。祖冲之还求得了圆周率的两个分数值,一个是“约率”22/7,另一个是“密率”355/113,这两个值,在西方是由德国的奥托和荷兰的安东尼兹在16世纪末才得到的,都比祖冲之晚了一千一百年。
此后,圆周率的计算便越来越精确,如:
1610年德国数学家柯伦用262边形将圆周率计算到小数点后35位。
1630年格林贝尔格利用改进的方法计算到小数点后39位,成为割圆术计算圆周率的最好结果。
现代人借助于计算机,已经算出圆周率小数点后几万亿位。
刘徽所创立的“割圆术”新方法对中国古代数学发展的重大贡献,历史是永远不会忘记的。
刘徽的“割圆术”还把极限思想和无穷小分割引入了数学证明。也就是说将圆内接正多边形的边数不断加倍,则它们与圆面积的差就越来越小,而当边数无限增加的时候,圆内接正多边形的面积的极限就是圆的面积。
刘徽指出,在用圆内接正多边形逼近圆面积的过程中,圆半径在正多边形与圆之间有一段余径。以余径乘正多边形的边长,加到这个正多边形上,其面积则大于圆面积,这是圆面积的一个上界序列。刘徽认为,当圆内接正多边形与圆合体时的极限状态,“则表无余径”。就是说,余径消失了,余径的长方形也就不存在了。因而,圆面积的这个上界序列的极限也是圆面积。于是内外两侧序列都趋向于同一数值,即圆面积。
刘徽在数学上的贡献极多,一是整理了中国古代数学体系并奠定了它的理论基础,二是在继承的基础上提出了很多自己的创见。
刘徽在《九章算术注》的自序中表明,把探究数学的根源,作为自己从事数学研究的最高任务。他注《九章算术》的宗旨就是“析理以辞,解体用图”。“析理”就是当时学者们互相辩难的代名词。刘徽通过析数学之理,建立了中国传统数学的理论体系。如:
刘徽是世界上最早提出十进小数概念的人,并用十进小数来表示无理数的立方根。还用数的同类与异类阐述了通分、约分、四则运算,以及繁分数化简等方面的运算法则。
在代数方面,他正确地提出了正负数的概念及其加减运算的法则,改进了线性方程组的解法。
在开方不尽的问题中提出了“求徽数”的思想。他从开方不尽的意义出发,论述了无理方根的存在,并引进了新数,创造了用十进分数无限逼近无理根的方法。这方法与后来求无理根的近似值的方法一致,它不仅是圆周率精确计算的必要条件,而且促进了十进小数的产生。
在线性方程组解法中,他创造了比直除法更简便的互乘相消法,与现今的加减消元法基本一致,并在中国数学史上第一次提出了“不定方程问题”。
在勾股理论方面逐一论证了有关勾股定理与解勾股形的计算原理,建立了相似勾股形理论,发展了勾股测量术,通过对“勾中容横”与“股中容直”之类的典型图形的论析,形成了中国特色的相似理论。
他还建立了等差级数前n项和公式,提出并定义了许多数学概念:如幂(面积)、方程(线性方程组)、正负数等。
用出入相补、以盈补虚的原理及“割圆术”的极限方法提出了刘徽原理,并解决了多种几何形、几何体的面积、体积计算问题,这些方面的理论价值至今仍闪烁着余晖。
刘徽还提出了许多公认正确的判断作为证明的前提。他的大多数推理、证明都合乎逻辑,十分严谨,从而把《九章算术》及他自己提出的解法、公式建立在必然性的基础之上。
虽然刘徽没有写出自成体系的著作,但他注《九章算术》所运用的数学知识,实际上已经形成了一个独具特色、包括概念和判断,并以数学证明为其联系纽带的理论体系。
刘徽还在自撰的《海岛算经》一书中,精心选编了九个测量问题,这些题目的创造性、复杂性和富有代表性,都在当时为西方所瞩目。在书中,他还提出了“重差术”,采用了重表、连索和累矩等测高测远的方法,他还运用“类推衍化”的方法,使重差术由两次测望,发展为“三望”“四望”。而印度在7世纪,欧洲在15~16世纪才开始研究两次测望的问题。
刘徽的工作,不仅对中国古代数学发展产生了深远影响,而且在世界数学史上也确立了崇高的历史地位。鉴于刘徽的巨大贡献,所以不少书上把他称作“中国数学史上的牛顿”。
随着时代的发展,割圆术后来逐渐被分析方法所取代,但割圆术作为计算圆周率最早的科学方法一直为人们所称道。
也就是说,刘徽在割圆术中提出的“分割、逼近”这种思想,就是中国古代极限观念的佳作,也是近代分析的基础。

如在右图中,要求曲边三角形的面积,就可把它分割成宽度相等的n个矩形,用这n个矩形的面积和来近似的表示曲边三角形的面积,当n逐渐增大时,矩形的面积和就越来越接近于曲边三角形的面积(如下图),当n无限增大时,最终矩形的面积和就是曲边三角形的面积,这就是极限思想的一个最基本的应用。

极限是微积分中的基础概念,它指的是变量在一个无限的变化过程中,逐渐稳定的这样一种变化趋势,以及在变化时逐渐趋近于一个固定的值,这个值就是极限值。
极限的思想也是近代数学的一种重要思想,数学分析就是以极限概念为基础、极限理论(包括级数)为主要工具来研究函数的一门学科。
所谓极限的思想,就是指用极限概念分析问题和解决问题的一种数学思想。
极限思想也是微积分的基本思想,数学分析中的一系列重要概念,如函数的连续性、导数以及定积分等都是借助于极限来定义的。如果要问:“数学分析是一门什么学科?”那么可以概括地说:“数学分析就是用极限思想来研究函数的一门学科”。
与一切科学的思想方法一样,极限思想也是社会实践的产物。极限的思想可以追溯到古代,古希腊人的穷竭法也蕴含了极限思想,但由于希腊人“对无限的恐惧”,他们避免明显地“取极限”,而是借助于间接证法——归谬法来完成了有关的证明。到了16世纪,荷兰数学家斯泰文在考察三角形重心的过程中改进了古希腊人的穷竭法,他借助几何直观,大胆地运用极限思想思考问题,放弃了归谬法的证明。如此,他就在无意中指出了“把极限方法发展成为一个实用概念的方向”。
极限思想的进一步发展是与微积分的建立紧密相连的。16世纪的欧洲处于资本主义萌芽时期,生产力得到极大的发展,生产和技术中大量的问题,只用初等数学的方法已无法解决,要求数学突破只研究常量的传统范围,而提供能够用以描述和研究运动、变化过程的新工具,这是促进极限发展、建立微积分的社会背景。
牛顿和莱布尼茨是微积分的创立者,他们就是以无穷小概念为基础建立起了微积分,后来因遇到了逻辑困难,所以在他们的晚期都不同程度地接受了极限思想。牛顿用路程的改变量ΔS与时间的改变量Δt之比表示运动物体的平均速度,让Δt无限趋近于零,得到物体的瞬时速度,并由此引出导数概念和微分学理论。他意识到了极限概念的重要性,试图以极限概念作为微积分的基础,他说:“两个量和量之比,如果在有限时间内不断趋于相等,且在这一时间终止前互相靠近,使得其差小于任意给定的差,则最终就成为相等”。但牛顿的极限观念也是建立在几何直观上的,因而他无法得出极限的严格表述。牛顿所运用的极限概念,只是接近于下列直观性的语言描述:
“如果当n无限增大时,数列{an}无限地接近于常数A,那么就说数列{an}以A为极限。”这一概念通俗易懂,可以用来描述和解决许多问题。
如:0.9<0.99<0.999<0.9999<0.99999<1。对于0.99999,只要9的个数是有限的,那么0.99999<1永远成立。但当9的个数无限增加时,其结果就是1。
即:0.9˙=0.9999…=1
这一过程可表示为:0.9=
,…,0.999…9=
,…
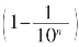
当n→∞
,
即0.999…9…=
=1
这种描述性语言,人们容易接受,现代一些初等的微积分读物中还经常采用这种定义。但是,这种定义没有定量地给出两个“无限过程”之间的联系,不能作为科学论证的逻辑基础。
正因为当时缺乏严格的极限定义,微积分理论才受到人们的怀疑与攻击,例如,在瞬时速度概念中,究竟Δt是否等于零?如果说是零,怎么能用它去作除法呢?如果它不是零,又怎么能把包含着它的那些项去掉呢?这就是数学史上所说的无穷小悖论。英国哲学家、大主教贝克莱对微积分的攻击最为激烈,他说微积分的推导是“分明的诡辩”。
到了19世纪,法国数学家柯西在前人工作的基础上,比较完整地阐述了极限概念及其理论,他在《分析教程》中指出:“当一个变量逐次所取的值无限趋于一个定值,最终使变量的值和该定值之差要多小就多小,这个定值就叫做所有其他值的极限值,特别地,当一个变量的数值(绝对值)无限地减小使之收敛到极限0,就说这个变量成为无穷小。”
柯西把无穷小视为以0为极限的变量,这就澄清了无穷小“似零非零”的模糊认识,这就是说,在变化过程中,它的值可以是非零,但它变化的趋向是“零”,可以无限地接近于零。
柯西试图消除极限概念中的几何直观,作出极限的明确定义,然后去完成牛顿的愿望。但柯西的叙述中还存在描述性的词语,没有达到彻底严密化的程度。
为了排除极限概念中的直观痕迹,德国数学家、现代数学分析之父维尔斯特拉斯提出了极限的静态定义,给微积分提供了严格的理论基础。
设{xn}为一无穷实数数列的集合。如果存在实数a,对于任意正数ε(不论它多么小),总存在正整数N,使得当n>N时,均有│xn-a│<ε成立,那么就称常数a是数列{xn}的极限,或称数列{xn}收敛于a。记作

或xn→a(n→+∞)
如果上述条件不成立,就说数列{xn}发散。
从几何意义上看,“当n>N时,均有不等式│xn-a│<ε成立”。
意味着:所有下标大于N的xn都落在(a-ε,a+ε)内;而在(a-ε,a+ε)之外,数列{xn}中的项至多只有N个(有限个)。
这个定义,借助不等式,通过ε和N之间的关系,定量地、具体地刻画了两个“无限过程”之间的联系。因此,这样的定义是严格的,可以作为科学论证的基础,至今仍在数学分析书籍中使用。
极限思想在现代数学乃至物理学等学科中有着广泛的应用,这是由它本身固有的思维功能所决定的。极限思想揭示了变量与常量、无限与有限的对立统一关系,是唯物辩证法的对立统一规律在数学领域中的应用。借助极限思想,人们可以从有限认识无限,从“不变”认识“变”,从直线形认识曲线形,从量变认识质变,从近似认识精确。
“变”与“不变”反映了事物运动变化与相对静止两种不同状态,但它们在一定条件下又可相互转化,这种转化是“数学科学的有力杠杆之一”。例如,要求变速直线运动的瞬时速度,用初等方法是无法解决的,困难在于速度是变量。为此,人们先在小范围内用匀速代替变速,并求其平均速度,把瞬时速度定义为平均速度的极限,就是借助于极限的思想方法,从“不变”来认识“变”的。
曲线形与直线形有着本质的差异,但在一定条件下也可相互转化,正如恩格斯所说:“直线和曲线在微分中终于等同起来了”。善于利用这种对立统一关系是处理数学问题的重要手段之一。直线形的面积容易求得,求曲线形的面积问题用初等的方法是不能解决的。刘徽用圆内接多边形逼近圆,一般地,人们用小矩形的面积来逼近曲边梯形的面积,都是借助于极限的思想方法,从直线形来认识曲线形的。
量变和质变既有区别又有联系,两者之间有着辩证的关系。量变能引起质变,质和量的互变规律是辩证法的基本规律之一,在数学研究工作中起着重要作用。对任何一个圆内接正多边形来说,当它边数加倍后,得到的还是内接正多边形,是量变而不是质变;但是,不断地让边数加倍,经过无限过程之后,多边形就“变”成圆,多边形面积便转化为圆面积。这就是借助于极限的思想方法,从量变来认识质变的。
近似与精确是对立统一关系,两者在一定条件下也可相互转化,这种转化是数学应用于实际计算的重要诀窍。前面所讲到的“部分和”“平均速度”“圆内接正多边形面积”,分别是相应的“无穷级数和”“瞬时速度”“圆面积”的近似值,取极限后就可得到相应的精确值。这都是借助于极限的思想方法,从近似来认识精确的。
极限思想方法是数学分析乃至全部高等数学必不可少的一种重要方法,也是数学分析与初等数学的本质区别之处。数学分析之所以能解决许多初等数学无法解决的问题(例如求瞬时速度、曲线弧长、曲边形面积、曲面体体积等问题),正是由于它采用了极限的思想方法。