无字的证明
数学的美妙是不言而喻的。在数学的很多场景下,有时一幅图形胜过千言万语,也就是一幅图可以展示深奥的数学关系,也可以简化证明,甚至不用文字证明,结论通过看图就能自然明白,这就是数学中的无字证明。所谓无字的证明,就是指仅用图形而无需文字解释就能不证自明的一些数学命题,虽然不能算作是正式的证明,但这些图形能够传递和表达那种强烈的数学张力,使读者领略到通过理解、思考,马上就被震撼、被吸引,也被美妙的图形结构所折服的感觉。这种感觉是任何语言也无法表达的一种神奇体验。正是由于图形表达的不证自明的特性,这种证明方式被认为比严格的数学证明更为优雅与有条理,它可以帮助我们感悟形与数的神奇结合,同时领悟数学命题的正确性,并且指明严格的数学证明可以从何处下手并进行下去。
下面看一些具体的例子。
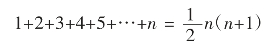
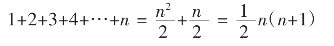
1.自然数之和
1+2+3+4+5+…+n=?
(1)图形构造一:


(2)图形构造二:


2.奇数之和
1+3+5+7+9+…+(2n-1)=?
从1至2n-1之间的所有奇数之和为n的平方的无字证明,如下面的图所示。第一个正方形由一个方块组成,即1为首个平方数。之后增加3个白色方块以组成第二个正方形,总共有4个方块,即4为第二个平方数。之后再增加5个黑色方块组成下一个平方数9,并以此类推。
(1)

即:1+3+5+7+…+(2n-1)=n2
(2)


(3)


3.自然数回文式的和
1+2+3+…+(n-1)+n+(n-1)+…+3+2+1=?

1+2+3+…+(n-1)+n+(n-1)+…+3+2+1=n2
4.奇数回文式的和
1+3+5+…+(2n-1)+(2n+1)+(2n-1)+…+5+3+1=?

1+3+1=12+22

1+3+5+3+1=22+32

1+3+5+7+5+3+1=32+42
……
1+3+5+…+(2n-1)+(2n+1)+(2n-1)+…+5+3+1=n2+(n+1)2
5.自然数的平方和
12+22+32+…+n2=?

3(12+22+32+…+n2)=(2n+1)(1+2+3+…+n)
所以,12+22+32+…+n2=
n(n+1)(2n+1)
6.自然数的立方和
13+23+33+…+n3=?

13+23+33+…+n3=(1+2+3+…+n)2=
n(2n+1)2
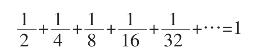
7.二分之一的无穷数列和
《庄子·天下篇》中有一段话,说的是“一尺之锤,日取其半,万世不竭。”意为拿一个长度为一尺的东西,今天取走一半,明天在剩余的一半中再取走一半,以后每天都在剩下的长度中取一半出来,这样永远都不会取完。
如果把取走的每一部分再合并起来,就可以用以下的和式来表示:

此式子也可用下面的图形予以解释:


8.勾股定理的证明
勾股定理的证明可以说是数形结合的典范,前面我们已经做了专门研究,现再举几例说明图形的魅力。
(1)通过两种不同的方法计算大的正方形的面积可以得到。

2ab+a2+b2=4×
ab+c2
化简得:a2+b2=c2
(2)用4个全等的直角三角形拼成正方形如图:
(a+b)2=4×
ab+c2

整理得:c2=a2+b2
(3)赵爽的勾股圆方图
c2=4×
ab+(b-a)2
整理得:c2=a2+b2

(4)美国总统加菲尔德图

整理得:c2=a2+b2

9.完全平方和公式

a2+b2+2ab=(a+b)2
10.完全平方差公式

a2+b2-2ab=(a-b)2
11.均值不等式
(1)四矩形拼正方形
(a+b)2≥4ab⇒a+b≥
(a>0,b>0)

(2)利用勾股定理
a+b≥
(a≥b>0)

(3)赵爽弦图

即a2+b2≥2ab

(4)利用射影定理

12.任意五角星的顶角和是180°

∠1+∠2+∠3+∠4+∠5=180°
13.余弦定理
(1)根据相交弦定理
(2a cosθ-b)b=(a-c)(a+c)
c2=a2+b2-2ab cosθ

(2)利用两点间距离的坐标公式

│BC│2=(b-c cosθ)2+(c sinθ-0)2
a2=b2+c2-2bc cosθ
总之,像上面用图形来巧妙反映数量关系的例子还有很多,这只是其中比较典型的一部分。从上面的例子我们也可以看出,构造满足相关数量关系的图形是关键的关键,其中就包含了数学的智慧、创造的思维、巧妙的构思,当然也是一种数学美的享受。