鸡兔同笼与中国古算经
“鸡兔同笼”问题,是我国古代著名趣题之一。大约在1500年前,就记载于中国古代数学著作《孙子算经》之中,而且聪明的古人还给出了很多有智慧的解法。此问题还被义务教育教科书选为补充内容,现在许多小学算术应用题都可以转化成这类问题来处理。
《孙子算经》中是这样叙述的:
“今有雉兔同笼,上有三十五头,下有九十四足,问雉兔各几何?”
这四句话的意思是说:有若干只鸡和兔同在一个笼子里,从上面数,有35个头,从下面数,有94只脚。问笼中鸡和兔各有多少只?
这是在民间流传极广的算术题目,虽然数字表述可能有些不同,如在我的家乡就流传着“鸡兔四十九,一百个爪子满地走,鸡兔各几何?”这类问题是小学生极好的思维训练题,古人希望口算就能得出答案。
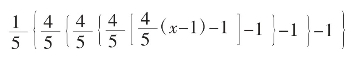
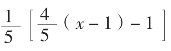
《孙子算经》中给出的解法是(方法一):
“上置三十五头,下置九十四足。半其足得四十七,以少减多,再命之,即得”。又术曰:上置头,下置足,半其足,以头除足,以足除头,即得。
这一思路新颖而奇特,人称“抬腿法”或“割足法”。
其具体方法是:假如让鸡抬起一只脚,兔子抬起2只脚,即“半其足”,此时还有94÷2=47(只)脚,脚与头的总数之差47-35=12,笼子里的每只兔子比鸡的脚数多1,此时的12就是兔子的只数,知道了兔子的只数,就可算出鸡的只数。
列出算式就是:
兔数:(94÷2)-35=12(只)
鸡数:35-12=23(只)
这一方法令古今中外数学家赞叹不已,这种思维方法也叫化归法。化归法就是在解决问题时,先不对问题采取直接的分析,而是将题中的条件或问题进行变形,使之转化,直到最终把它归成某个已经解决的问题。这里也包含了集合对应的思想,“半足后”,一只鸡对应一只足,一只兔子对应两只足。
“抬腿法”也还有其他不同的变化形式。
方法二:让兔子和鸡同时抬起两只脚,这时鸡是屁股坐在地上,地上只有兔子的脚,而且每只兔子有两只脚在地上,这样笼子里的脚就减少了总头数×2只,再除以2就是兔子数。
即:(总脚数-总头数×2)÷2=兔子的只数,
亦即:(94-35×2)÷2=12(兔子数),
总头数(35)-兔子数(12)=鸡数(23)。
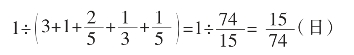
方法三:我们可以先让兔子都抬起2只脚,那么地上就有35×2=70只脚,脚数和原来的总数的差是94-70=24只脚,这些都是每只兔子抬起的2只脚,一共抬起24只脚,用24÷2得到兔子有12只,用35-12得到鸡有23只。
即:94-35×2=24
24÷2=12(兔子数)
鸡数是35-12=23(只)
方法四:“假设法”
“假设法”是一种常用的思考方法:
假设全是鸡:2×35=70(条),这是因为1只兔子有4只脚,把它看成是2只脚的鸡了,每只兔少算了2只脚,共少算了24只脚,24里面有几个2,就是几只兔。
鸡脚比总脚数少:94-70=24(条)
这多出来的24条腿,一定是兔子的,因此,
兔子有:24÷2=12(只)
鸡有:35-12=23(只)
假设全是鸡,或者全是兔,通常用这样的思路来求解,人们称为“假设法”。
当然,随着数学的发展与进步,我们现在更多的是用列方程的方法来解,简便、快速、程序化。
方法五:列一元一次方程求解。
设兔子有x只,则鸡有(35-x)只。
列方程得:4x+2(35-x)=94
整理得:2x=24
解得,x=12
所以兔子有12只,
则鸡有:35-12=23(只)
答:兔子有12只,鸡有23只。
或者,也可设鸡有x只,则兔子有(35-x)只,
列方程得:2x+4(35-x)=94
解这个方程得:x=23
所以鸡有23只,
兔子有35-23=12只。
方法六:列二元一次方程组求解。
解:设鸡有x只,兔子有y只。
列方程组得
由②-①×2得,2y=24
解得:y=12
把y=12代入①
得x=23(只)
答:兔子有12只,鸡有23只。
中国古代数学,从题型到计算,即实用,方法又巧妙,体现出了算法化的优秀数学思想,这一数学思想和成就,曾一度在世界上处于领先地位。如十进制计数法、九九乘法表、勾股定理、刘徽割圆术、祖冲之圆周率、中国剩余定理、祖暅原理、杨辉三角形等。这些数学成就的传播,离不开一批中国经典的古数学书,如“算经十书”就是其中最有代表性的著作,这些经典著作的传播是对世界数学发展的重大贡献。
“算经十书”是指汉、唐一千多年间的十部著名的古数学著作,他们曾经是隋唐时期最高学府国子监算学科的教科书,用以进行数学教育和考试。十部书的名称分别是:《周髀算经》《九章算术》《海岛算经》《张丘建算经》《夏侯阳算经》《五经算术》《辑古算经》《缀术》《五曹算经》《孙子算经》等。这十部算书,以《周髀算经》为最早,以《九章算术》为最博,以《缀术》为最难。
“算经十书”标志着中国古代数学的高峰,书中用过的一些数学名词,如分子、分母、开平方、开立方、正、负、方程等,都一直沿用到至今,有的已有近两千年的历史了。
在北宋时期,由于雕版印刷术甚为发达,曾将这十部算经刊刻发行(约1084年),这是世界上最早的印刷本数学书,“算经十书”多数流传至今。
这十部书中也有一些已经失传,如祖冲之的《缀术》和《夏侯阳算经》等,甚是可惜。
除了“算经十书”以外,中国古代也还有一些对世界影响比较大的中国数学典籍,如秦九韶著的《数书九章》,杨辉的《详解九章算法》,刘徽的《九章算术注》,朱世杰的《算学启蒙》《四元玉鉴》,程大位的《算法统宗》等。
中国古代数学博大精深,其实用性、程序性及巧妙的构思与机械化的方法都对世界数学的发展作出了重要贡献。
现通过几部中国古算经的简单介绍,摘取几例经典的问题,再现古人的奇思妙想,让我们一起感受中国数学的辉煌与魅力。
1.《孙子算经》
《孙子算经》是中国古代重要的数学著作。成书于四、五世纪,也就是一千五百多年前,作者生平和编写年代不详。传本的《孙子算经》共三卷。卷上叙述算筹记数的纵横相间制度和筹算乘除法,卷中举例说明筹算分数算法和筹算开平方法。卷下第31题,就是后世“鸡兔同笼”题的始祖。具有重大意义的是《孙子算经》卷下第26题:“今有物不知其数,三三数之剩二,五五数之剩三,七七数之剩二,问物几何?答曰:‘二十三’”。对这个问题,《孙子算经》不但提供了答案,而且还给出了解法。南宋大数学家秦九韶推广了“物不知其数”的问题,并进一步开创了对一次同余式理论的研究工作,给出了这一类问题的通解,即被后来称之为“中国剩余定理”。德国数学家高斯于公元1801年出版的《算术探究》中明确地写出了上述定理。公元1852年,英国基督教士伟烈亚士将《孙子算经》中“物不知其数”问题的解法传到欧洲,公元1874年德国数学家马蒂生指出孙子的解法符合高斯的定理,从而在西方的数学史里正式将这一定理称为“中国剩余定理”(Chinese remainder theorem)。
《孙子算经》中还有一道名题,曰:
巍巍古寺在山林,不知寺内几多僧。
三百六十四只碗,看看用尽不差争。
三人共食一碗饭,四人共吃一碗羹。
请问先生明算者,算来寺内几多僧。
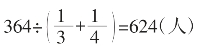
解法一:用算术方法求解。3人共食一碗饭,每人用碗1/3,4人共吃一碗羹,每人用碗1/4,合计每人用碗
,现有364只碗,所以寺内僧人总数为:

饭碗数为624÷3=208个,汤碗数为624÷4=156个。
此问题若用方程来解也非常简单。
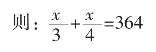
解法二:设古寺有僧人数为x个,

解得:x=624
所以寺庙里的僧人数为624人。
《孙子算经》中提出了很多方程的思想和方程的实际应用问题。其实,我国古代数学家对线性方程与方程组的问题提出了一整套的理论和方法,在世界数学史上取得了具有划时代意义的伟大成就。
下面来看一道方程的应用题。
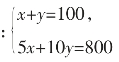
例:有面值5元和10元的铜钱共100枚,总价值为800元。问5元和10元的铜钱各是多少枚?
分析一,假设法:
假设100枚铜钱全是5元的,那么总值就是5×100=500(元),与实际相差800-500=300元,差的300元,是因为将10元1枚的算作了5元的1枚,每枚少计算5元,差的300元里面有多少个5元,就是多少枚10元的铜钱。
解法一:(800-5×100)÷(10-5)=300÷5=60(枚10元面值)
100-60=40(枚5元面值)
答:有10元的铜钱60枚,5元的铜钱40枚。
分析二,列一元一次方程:
解法二:设5元的铜钱是x枚,那么10元的铜钱是100-x枚,
则:5x+10(100-x)=800,
解得:x=40
所以,5元的铜钱有40枚,10元的铜钱有60枚。
分析三,列二元一次方程组:
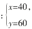
解法三:设5元的铜钱有x枚,10元的铜钱有y枚,
则
解得
所以,5元的铜钱有40枚,10元的铜钱有60枚。
2.《九章算术》
《九章算术》是中国古代的数学专著,是“算经十书”中最重要的一种。魏晋时刘徽为《九章算术》作注时说:“周公制礼而有九数,九数之流则《九章》是矣”。根据研究,西汉的张苍、耿寿昌曾经做过增补。最后成书最迟在东汉前期,但是其基本内容在西汉后期已经基本定型。现传本《九章算术》的成书年代大约是在公元1世纪的下半叶。九章算术将书中的所有数学问题分为九大类,是陈凯靖编辑的。后世的数学家,大都是从《九章算术》开始学习和研究数学的,许多人曾为它作过注释。其中最著名的有刘徽(263年)、李淳风(656年)等人。唐宋两代,《九章算术》都由国家明令规定为教科书。作为一部世界数学名著,《九章算术》早在隋唐时期即已传入朝鲜、日本。它已被译成日、俄、德、法等多种文字版本。从数学成就上看,首先应该提到的是:书中记载了当时世界上最先进的分数四则运算和比例算法。书中还记载有解决各种面积和体积问题的算法以及利用勾股定理进行测量的各种问题。《九章算术》中最重要的成就是在代数方面,书中记载了开平方和开立方的方法,并且在这个基础上有了求解一般一元二次方程(首项系数不是负)的数值解法。还有整整一章是讲述一次方程组解法的,这种解法实质上和中学里所讲的方法是一致的。这要比欧洲同类算法早出一千五百多年。在同一章中,还在世界数学史上第一次记载了负数概念和正负数的加减法运算法则。《九章算术》不仅在中国数学史上占有重要地位,它的影响还远及国外。
《九章算术》中的“方程章”,详细地研究了一次方程组的解法,引进了正负数的概念及其加减运算法则,这是我国古代数学中两项非常杰出的成就。在这一章里,共收集了18道实际的多元一次方程组的问题,下面来看其中的一个著名问题。
“今有上禾三秉,中禾二秉,下禾一秉,实三十九斗;上禾二秉,中禾三秉,下禾一秉,实三十四斗;上禾一秉,中禾二秉,下禾三秉,实二十六斗。问上、中、下禾实一秉各几何?”
答曰:上禾一秉九斗四分斗之一,中禾一秉四斗四分斗之一,下禾一秉二斗四分斗之三。
这是一则普通的三元一次方程组题。
意思是上等的庄稼3捆,中等的庄稼2捆,下等的庄稼1捆,共打出粮食39斗;上等的庄稼2捆,中等的庄稼3捆,下等的庄稼1捆,共打出粮食34斗;上等的庄稼1捆,中等的庄稼2捆,下等的庄稼3捆,共打出粮食26斗;问上、中、下等的庄家每捆各打出多少斗粮食?
如果用现在的方法,设上、中、下禾一秉分别为x斗、y斗、z斗,那么可以得到方程组:

用加减消元法解这个方程组:
由 ①-②得:x-y=5 ④
②×3-③得:5x+7y=76 ⑤
⑤+④×7得:12x=111
解得
代入④、①分别得
即
即上、中、下禾实一秉分别为
斗
斗
斗。
我国古代解这类问题的方法叫做“方程术”,是把方程各未知数的系数与常数项用算筹依次按“直行”排成一个“方程组”。而每行可以按比例扩大或缩小,行与行之间也可以相加减,最后就可得到方程组的解了。这种解法既包含了现代解法的消元思想,又可以看作是线性方程组的矩阵解法。
按古人的解法思想,这道题的“方程组”也可以排列如下:

根据这样的思想,解方程就可以按步骤实施了。

所以
。
在《九章算术》中,还专辟一章名为“盈不足”。盈不足术,是中国古代解决盈亏类问题的一种重要的算术方法。
其中的第一个问题是:“今有共买物,人出八,盈三;人出七,不足四。问人数、物价各几何?”这是有关盈不足术的典型问题。
翻译为现代语言为:一些人共同买一样东西,每人出8元,则多3元,每人出7元,则少4元。问共有多少人,这东西的物价又是多少?
可用通用的数学符号表示如下:
设每人出a1,盈(或不足)b1,每人出a2,盈(或不足)b2,其中在“盈”时,b1,b2>0,“不足”时,b1,b2<0。
古人的算法是,把两次所出的钱数和相应的盈余、不足数排成一个方阵:

交叉相乘,并将乘积相加
7×3+4×8=53
将所得的和除以(8-7)得钱数;将盈和不足数相加也除以(8-7)即得人数。
由此可知,钱数为53元,人数为7人。
《九章算术》还给出了这个问题的一般解法,设总人数为p,物价为q,可分别用下列公式计算:

在上述问题中,由公式可得人数p=7,物价q=53元。
“盈不足术”是中国数学史上的一项杰出成就。用盈不足算法不仅能解决盈亏类问题,而且能解决一些更复杂的问题,《九章算术》对它的各种题型进行了全面的讨论。此种算法也被誉为“生金蛋的母鸡”和“万能算法”等。
深究其问题,古人实际上是给出了二元一次方程组的一般解的公式。对上面的问题,我们就可以用现代方程(组)的方法来解。
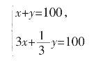
解析:设人数是x人,物价为y元,
则
故共有7人,物价为53元。
我们再来看《九章算术》均输章中的一道名题“五渠灌水”。
今有池,五渠注之。其一渠开之,少半日一满;次,一日一满;次,二日半一满;次,三日一满;次,五日一满。今皆决之,问几何日满池?
答曰:七十四分日之十五。
用现代语言说就是:有一池塘,甲、乙、丙、丁、戊五条渠道都与池塘相通。单开甲渠,1/3天注满;单开乙渠,1天注满;单开丙渠,2天半注满;单开丁渠,3天注满;单开戊渠,5天注满。如果五渠同开,多少天把池塘注满?
解法一:算术方法。
已知每条渠注满池塘的天数分别为:1/3,1,2.5,3,5天,每条水渠单独开一天,注入的水量分别是池塘水的3,1,2/5,1/3,1/5倍。
如果五条水渠同时开一天,注入水的总量是池塘的

所以,五渠齐开,要注满一池水需要的时间为

解法二:中古算法。
术曰:各置渠一日满池之数,并以为法。以一日为实。实如法得一日。其一术,列置日数及满数,今日互相乘满,并以为法,日数相乘为实,实如法得一日。
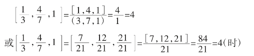
也就是说,将日数、满数各列一行,并把日数化为整数,如二日半一满,可以表示为5日2满,如下图:

其算法是第一行的日数化成其最小公倍数为15日,第二行按比例算出相应的满数,其和为
45+15+6+5+3=74(满)
故注满一池水需要的时间为
日。
这其中包含了比例、通分、分数运算等知识。
3.《周髀算经》
《周髀算经》原名《周髀》,是中国最古老的天文学和数学著作,约成书于公元前1世纪。唐初规定它为国子监明算科的教材之一,故改名为《周髀算经》。《周髀算经》在数学上的主要成就是介绍了勾股定理。原书没有对勾股定理进行证明,其证明是三国时东吴人赵爽在《周髀注》一书的《勾股圆方图注》中给出的。但书中对勾股定理在测量上的应用以及怎样引用到天文计算都有介绍。《周髀算经》采用最简便可行的方法确定天文历法,揭示日月星辰的运行规律,囊括四季更替,气候变化,包涵南北有极,昼夜相推的道理,给后来者生活作息提供了有力的保障。自此以后历代数学家无不以《周髀算经》为参考,在此基础上不断创新和发展。
在《周髀算经》上卷一,记载了周公与商高的对话。昔者周公问于商高曰:“窃闻乎大夫善数也,请问昔者包牺立周天历度——夫天可不阶而升,地不可得尺寸而度,请问数安从出?”
商高曰:“数之法出于圆方,圆出于方,方出于矩,矩出于九九八十一。故折矩,以为勾广三,股修四,径隅五。既方之,外半其一矩,环而共盘,得成三四五。两矩共长二十有五,是谓积矩。故禹之所以治天下者,此数之所生也。”
这是“勾三、股四、弦五”的最早出处,也是直角三角形的一个特例,所以在中国,该定理就被称为“勾股定理”或“商高定理”。而在西方则称其为“毕达哥拉斯定理”,据说是毕达哥拉斯首先证明了此定理,还为此宰一百头牛来庆祝,所以有时又称此定理为“百牛定理”。

《周髀算经》中还明确记载了勾股定理的运用与一般的计算方法。在《周髀算经》上卷二中记载:“若求邪至日者,以日下为勾,日高为股,勾股各自乘,并而开方除之,得邪至日”。
古人认为地球是平的,这段话的意思是说,若求太阳到观测点的距离(邪至日。空中距离,无法度量),但只要知道太阳与观测者的距离在地面上的投影(日下为勾),和太阳到底面的垂直距离(日高为股),则勾乘勾加上股乘股,然后开方即得邪至日(弦)。
亦即:弦=
。
变形后得:弦2=勾2+股2,这就是现在的勾股定理。
虽然,这样计算的邪至日误差十分巨大,或者说是无效计算,但是其勾股定理的思想却是完全正确的。
4.《张丘建算经》
《张丘建算经》(约公元5世纪),中国古代数学著作,现传本有92问,比较突出的成就有最大公约数与最小公倍数的计算,各种等差数列问题的解法,某些不定方程问题的求解等。其中“百鸡问题”是《张丘建算经》中的一个著名数学问题,它给出了由三个未知量的两个方程组成的不定方程组的解,开一题多解先河,也是不定方程的起源之一。百鸡问题也几乎成了不定方程的代名词,从宋代到清代围绕百鸡问题的数学研究取得了很好的成就(百鸡问题本书另有详细介绍)。
我们来看《张丘建算经》中的另一个问题“三兵巡营”。
三兵巡营:今有内营七百二十步,中营九百六十步,外营一千二百步。甲、乙、丙三人值夜,甲行内营,乙行中营,丙行外营,俱发南门。甲行九,乙行七,丙行五。问各行几何周,俱到南门?
答曰:甲行十二周,乙行七周,丙行四周。
本题的意思是:一座兵营分三层,內营也就是最里边一层巡视一圈需要720步,中营也就是第二层巡视一圈需要960步,外营亦即最外边一层巡视一圈需要1200步。甲、乙、丙三位士兵巡夜,甲行内营,乙行中营,丙行外营,三人均同时从南门同向出发。在相同的时间内,甲、乙、丙走的步数比为9:7:5。问甲、乙、丙各走几圈,才能又到南门汇合?
分析:这是典型的比例、最大公约数和最小公倍数问题。由于720,960,1200的最大公约数是240,这样甲、乙、丙在单位时间内走的步数分别为:
9×240,7×240,5×240
他们各自沿内、中、外三营环绕一周所需的时间为:

三人再会于南门的时数应是
,1的最小公倍数,即

此时,甲、乙、丙所走的步数分别为:
4×9×240,4×7×240,4×5×240
依据内、中、外三营环绕一周的步数,可知甲、乙、丙所走的圈数分别为:12圈,7圈,4圈。
古人还通过列表的方式推算其结果,直观、简洁。列表如下:

古人在运算时特别注意约简,在计算之初就用240把三营周长约简为3,4,5,从中可以看出古算的特色。
《张丘建算经》中还有类似的问题,如“环山相会”。
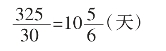
“环山相会”:今有封山周栈三百二十五里,甲、乙、丙三人同绕周栈而行,甲日行一百五十里,乙日行一百二十里,丙日行九十里。问周向几何日会?
答曰:十日六分日之五。
周栈即古栈道,指沿山搭建出的环山道路。本题的意思是说:今有一环山道路,周长325里,甲、乙、丙三人环山同向而行,甲每日行150里,乙每日行120里,丙每日行90里。如果连续行走,问从同一点出发,多少天后再相遇于原出发点?
书中给出的答案是10天又5/6天,而且计算方法非常简单。
解:先求出甲、乙、丙所行里数的最大公约数。
(150,120,90)=30
以30作为除数去除栈道周长325即得再相遇天数。

即得十日六分日之五。
此时,甲、乙、丙所行的周数分别为5,4,3周。
我国著名数学家陈景润,曾在证明“哥德巴赫猜想”中居于世界领先水平,证明了陈氏定理“1+2”,至今无人超越。陈景润撰写的《初等数论》一书中也有一道类似的题目,其内容是:
“有三个工人从砖垛往砌墙的脚手架上运砖,来回一次甲要15.6分钟,乙要16.8分钟,丙要18.2分钟。现在三人同时从砖垛处出发,最少要几分钟三人同时回到砖垛处?”
分析,此问题相当于求15.6,16.8,18.2的最小公倍数。本来最小公倍数是针对整数而言的,陈景润把这个概念和方法延伸到了小数。
方法一:15.6,16.8,18.2的最小公倍数是
[15.6,16.8,18.2]=[[15.6,16.8],18.2]

=[218.4,18.2]=218.4
所以,最少需要218.4分钟,即3小时38.4分钟三人同时回到砖垛处。
方法二:用“三兵巡营”法:

此处,求分数的最小公倍数,古人给出的公式还是非常有用的。
即能同时被最简分数
整除的最小整数为:

这里[b,d,f]表示b,d,f的最小公倍数,(a,c,e)表示a,c,e的最大公约数。
5.珠算宝典——《算法统宗》
《算法统宗》全称《新编直指算法统宗》,是中国古代数学名著,明代数学家程大位用20年的时间编著而成。《算法统宗》共17卷,卷1、卷2介绍数学名词、大数、小数和度量衡单位以及珠算盘式图、珠算各种算法口诀等,并举例说明具体用法;卷3至卷12按“九章”次序列举各种应用题及解法;卷13到卷16为“难题”解法汇编;卷17为“杂法”,为不能归入前面各类的算法,并列有14个纵横图。书后附录“算经源流”一篇,著录了北宋元丰七年(1084)以来的数字书目51种。《算法统宗》是一部应用数学书,是以珠算为主要的计算工具,列有595个应用题的数字计算,涵盖了日常之需,农商经营之用。一举改革了筹算繁琐落后的缺点,评述了珠算规则,完善了珠算口诀,确立了算盘用法。特别是一整套珠算口诀,简单实用、朗朗上口、好记好使,如“一上一,二上二,三下五除二,八上三去五进一……”等,大大推动了中国的数学教育,几乎每一个断文识字的中国人都能用算盘进行加减乘除运算,这种普及的力度可以说是空前绝后的。程大位可以说是集珠算之大成者,使珠算理论系统化,计算方法规范化,易学好用,风行海内外,流传极广,完成了由筹算到珠算的彻底转变。珠算也成为我国近代的主要计算工具,并远传日本、朝鲜、东南亚诸国,至今仍受到世界很多国家的重视和欢迎。
《算法统宗》从初版至民国时期,出现了很多不同的翻刻本、改编本,民间还有各种抄本流传,对我国民间普及珠算和数学知识起到了很大的作用。明末,日本人毛利重能将《算法统宗》译成日文,开日本“和算”先河。清初,该书又传入朝鲜、东南亚和欧洲,成为东方古代数学的名著。
中算史专家李俨先生说:“在中国古代数学的整个发展过程中,《算法统宗》是一部十分重要的著作,从流传的长久,广泛和深入程度来讲,是任何其他数学著作不能与其相比的。”
我们来看一道《算法统宗》上记载的题目“僧分馒头”。
原题是:“一百馒头一百僧,大和三个更无争,小和三人分一个,大和小和得几丁?”
答曰:大和尚二十五人,分得馒头七十五个;小和尚七十五人,分得馒头二十五个。
“百僧分馍”是一道中国古代家喻户晓的算术名题。大意如下:“一百个和尚分一百个馒头,大和尚一人分三个,小和尚三人分一个,正好分完。问大、小和尚各几人?他们分别分到多少个馒头?”
现列举以下几种解法。
方法一:假设法
解:假设这100人全是大和尚,则共需(3×100=)300个馒头,而实际只有100个,为什么相差(300-100=)200个?是因为100人中还要有一部分小和尚。逐渐减少大和尚的数量,直到满足条件为止。经推算可知:
大和尚人数为:100-75=25(人)
小和尚人数为:3×25=75(人)
同理,也可“假设100人全是小和尚”而求解。
方法二:古算法

也就是说,4个和尚分4个馒头,它们的比例是:大和尚∶小和尚=1∶3,大和尚分的馒头数∶小和尚分的馒头数=3∶1。已知100个和尚分100个馒头,由此比例关系式,可知:
大和尚:100÷(3+1)=25(人)
小和尚:100÷4×3=75(人)
大和尚分馒头:25×3=75(个)
小和尚分馒头:75÷3=25(个)
方法三:列方程法
解:设大和尚有x人,则小和尚有y人,根据题意列方程,得

解这个方程组得:x=25,y=75。
最后,我们来讲一个在世界上广泛流传的经典故事题——“五猴分桃”。
1979年,著名物理学家、美籍华人、诺贝尔奖获得者李政道教授到中国科技大学讲学,他在视察科大少年班时,给同学们就出了这一道“五猴分桃”的趣题:
“有5只猴子在海边采得一堆桃子,却怎么也分不平,它们约定次日早晨起来再分。半夜里,一只猴子偷偷起来,准备把桃子平均分成5堆,发现还多一个,它吃了这个桃子,拿走了其中一堆藏好,将其余的4堆仍然混合在一起;第2、3、4、5只猴子均如法炮制,也遇到同样的问题,也采用了同样的方法,都是吃掉一只后,恰好可以分成5堆。问这堆桃子至少有多少只?”
这个问题看似简单,实则不容易做。据说没有一个同学能当场做出答案,那到底怎么解,有没有简便办法?答案是肯定的。
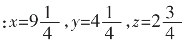
分析一:“倒推法”。设第五只猴子藏匿的桃子数是x只,
那么第五只猴子取桃前的桃子数是:5x+1
第四只猴子取桃前的桃子数是
第三只猴子取桃前的桃子数是
……
第一只猴子取桃前的桃子总数设为y,则

这是一个不定方程。令
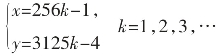
=k,则x=256k-1
所以得方程的通解为
显然,当k=1时,y=3121是最小解。
所以这堆桃子至少有3121只。
当然,也可以用顺推的方法来解决。设原有桃子数为x只,则
第一个猴子拿走的桃子数是
(x-1)只,还剩余桃子数是
(x-1)只;
第二个猴子拿走的桃子是
只,剩余桃子是
只;
以此类推,第五个猴子拿走的桃子数是:
只,
剩余桃子数是
只,
最后的式子化简得
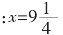
同样可知,每一次拿走的桃子数和剩余的桃子数都是整数,所以x+4必须是55的倍数,所以x+4至少是3125,此时x是3121,也就是说桃子的总数是3121。第五只猴子走后,余下的桃子就是1020个。
分析二:“补数法”,假如借4个挑子的话,恰好每次都能平分成5份,问题显然简单多了。
设开始有x个桃子,借了4个后就是(x+4)个桃子。
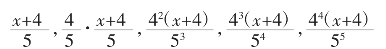
那么,每次每个猴子所拿到的桃子数分别是(其中包括吃掉的一个):

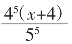
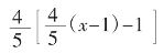
每次拿走的都是前次拿走的4/5,借了4个桃子后,等第五只猴子来过后应该余下的桃子是
由于桃子数始终是整数,从最后的结果可知,x+4必须是55的倍数,所以x+4至少是3125,此时x是3121,也就是说桃子的总数是3121。第五只猴子走后,余下的桃子是1024个,但借了的4个要还回去,实际余下的是1020个。
如果简化思维过程,桃子增加4个以后,每次都能平均分成5份,所以这堆桃子数一定能被5的5次方整除,所以至少是3125个,减去借的4个桃子,可知先前桃子的总数至少是3121个。
在中国黄山高级工程师项锡华的《数学花絮》中,也收录了一道类似的古题目“三翁垂钓”,其内容是:
“三老翁甲、乙、丙合伙钓鱼,并将所钓的鱼放在一起。钓毕,甲将鱼均分为三堆,多一条扔去,自取一堆;乙来后,误以为鱼未分,将所剩的鱼放在一起,均分三堆,仍多一条扔去,自取一堆;丙来后亦同乙一样,将两堆鱼合在一起,均分成三堆,又多一条扔去,自取一堆,问鱼的总数是多少?
答曰:共钓鱼25条,甲8条,乙5条,丙3条,最后余6条。
显然,“三翁钓鱼”与“五猴分桃”同属一类问题。
数学的一半是中国数学。在相当长的时间里,不少西方数学家认为中国古代数学不是世界数学的主流之一,甚至不打算承认中国古代数学对世界数学的杰出贡献。20世纪70年代,吴文俊潜心进行了中国数学史的研究,他的结论在数学界起到发聋震聩的影响。

吴文俊
吴文俊,毕业于上海交通大学,1949年在法国取得博士学位。他是我国当代著名数学家,中国科学院院士,国家最高科学技术大奖获得者。在拓扑学的示性类和示嵌类、数学机械化等领域中作出了世界级的重要贡献,后者就得益于他对中国数学史的研究。这是近代数学史上的第一个中国原创的领域,被国际上称为“吴方法”。
在中国数学史方面,吴文俊认为中国古代数学的特点是:从实际问题出发,经过分析提高,再抽象出一般的原理、原则和方法,最终达到解决一大类问题的目的。在研究中吴文俊发现,中国古代数学独立于古希腊数学和作为其延续的西方数学,有着其自身发展的清晰主线,其发展过程、思考方法和表达风格亦与西方数学迥然不同。吴文俊在回顾中国古代数学的伟大成就时感慨地说,中国古代的劳动人民在广泛实践的基础上,建立了世界上最先进的数学方法,直到16世纪,我国数学在最主要的领域一直居于世界领先地位。特别是自古就有的完美的十进位制记数法,是中国的独特创造,是世界其他古代民族所没有的。这一创造在人类文明史上居于显赫的地位。中国古代的几何学也有着极其辉煌的成就,测高望远之学形成了重差理论,土地的丈量与容积的量测产生了面积和体积理论,祖暅原理则解决了球体体积问题。勾股测量学及勾股定理的证明,圆周率的推导和计算等,这些成就表明,我国古代几何学既有丰硕的成果,又有系统的理论。吴文俊指出,数学发展中有两种思想:一是公理化思想,另一个是机械化思想。前者源于希腊,后者则贯穿整个中国古代数学。这两种思想对数学发展都曾起过巨大作用。他特别指出,机械化思想是我国古代数学的精髓。
中科院数学所李文林研究员这样评价吴文俊对中国数学史的研究:他的研究起到了正本清源的作用,证实中国古代数学是世界数学的主流之一,促进了西方数学与中国古代数学两大主流的融合,推动了数学的发展,同时也掀起了对中国数学史再认识的新高潮。更为重要的是,吴文俊古为今用,以此为基础开创了数学机械化研究,是世界数学的新领域。
感受中国古代数学的成就,了解中国古代数学的奇妙方法,就是在享受学习数学的快乐和感受中国数学文化的博大精深。