无理数与连分数
“万物皆数”,这是古希腊毕达哥拉斯(Pythagqras,约公元前580—前500)学派,在当时提出的一个重要命题。大约在公元前5世纪,当时毕达哥拉斯学派特别重视自然及社会中不变因素的研究,把几何、算术、天文、音乐称为“四艺”,追求宇宙的和谐与规律性。他们认为宇宙间一切事物都可归结为整数或整数之比。毕达哥拉斯学派的一项重大贡献就是证明了勾股定理,在西方也被称为“毕达哥拉斯定理”。但是在勾股定理的应用过程中,也发现了一些直角三角形的斜边不能表示成整数或整数之比(不可通约)的情形,如直角边长为1的等腰直角三角形就是如此。这一悖论直接触犯了毕达哥拉斯学派的根本信条,导致了当时认识上的“恐慌”,从而产生了第一次数学危机。
第一次数学危机对古希腊的数学观点产生了极大的冲击。这表明,几何学的某些真理与算术无关,几何量不能完全由整数及其比来表示,反之却可以由几何量表示出来,整数的权威地位开始动摇,而几何学的身份反而升高了。危机也表明,直觉和经验不一定靠得住,推理证明才是可靠的,从此希腊人开始重视演绎推理,并由此建立了几何公理体系,欧几里得的《几何原本》问世,这不能不说就是数学思想上的一次巨大革命!
第一次数学危机的爆发,使无理数逐渐浮出水面。但是,在无理数产生与发展的过程中,一件不愉快的事情发生了。让我们回到2500年前的古希腊,著名的毕达哥拉斯学派,是一个研究数学、科学和哲学的团体。他们认为“数”是万物的本源,提出了“万物皆数”,认为数支配了整个自然界和人类社会。因此世间一切事物都可归结为数或数的比例,这是世界之所以美好和谐的源泉。他们所说的数实际上是指整数和分数,但分数都可以写成两个整数之比,所以他们相信一切数都可以写成两个整数之比。但是学派中一个叫希帕索斯的学生在研究正方形时,发现没有一个能用整数比例写成的数可以度量对角线。他画了一个边长为1的正方形,设对角线为x,根据勾股定理得x2=12+12=2,由此可知单位正方形的边长与对角线是不可公度的,可它是多少?又该怎样表示它呢?由此可见边长为1的正方形的对角线的长度数肯定是存在的,但又不能用整数比来表示。希帕索斯等人百思不得其解,最后认定这是一个从未见过的新数。这个新数的出现使毕达哥拉斯学派感到震惊,也动摇了他们的哲学思想核心。为了保持支撑世界的数学大厦不要坍塌,他们规定对新数的发现要严守秘密。而希帕索斯还是忍不住将这个秘密泄露了出去。然而,至高无上的神权不容侵犯,据说希帕索斯后来被扔进大海喂了鲨鱼。但是,真理是藏不住的,人们后来又发现了很多不能用两整数之比写出来的数。如圆周率就是最重要的一个,人们把它记成π,也称它为无理数。
无理数的发现,击碎了毕达哥拉斯学派“万物皆数”的美梦。同时也暴露出有理数系的缺陷。一条直线上的有理数尽管是“稠密”的,但是它却露出了许多“孔隙”,而且这种“孔隙”多得“不可胜数”。这样,古希腊人把有理数视为是连续衔接的那种算术连续统的设想,就彻底地破灭了。它的破灭,在以后两千多年的时间内,对数学的发展,起到了深远的影响。
不可通约的本质是什么?长期以来众说纷纭。两个不可通约量的比值也因其得不到正确的解释,而被认为是不可理喻的数。15世纪达·芬奇(Leonardo da Vinci,1452—1519)把它们称为“无理的数”(irrational number)。这些“无理”的数,虽然在后来的运算中渐渐被使用,但是它们究竟是不是实实在在的数,却一直是个困扰人的问题。
中国古代数学在处理开方问题时,也不可避免地碰到无理根数。对于这种“开之不尽”的数,《九章算术》直截了当地“以面命之”予以接受,刘徽注释中的“求其微数”,实际上是用10进制小数来无限逼近无理数。这本是一条完成实数系统的正确道路,只是刘徽的思想远远超越了他的时代,而未能引起后人的重视。不过,中国传统数学关注的是数量的计算,对数的本质并没有太大的兴趣。而善于究根问底的希腊人就无法迈过这道坎了,既然不能克服它,那就只好回避它。此后的希腊数学家,如欧多克斯(Eudoxus)、欧几里得(Euclid)在他们的几何学里,都严格避免把数与几何量等同起来,使几何学在逻辑上绕过了不可公度的障碍,使得在这以后的漫长时期中,形成了几何与算术的显著分离。
17、18世纪微积分的发展几乎吸引了所有数学家的注意力,恰恰是人们对微积分基础的关注,使得实数域的连续性问题再次突显出来。因为,微积分是建立在极限运算基础上的变量数学,而极限运算,需要一个封闭的数域。无理数正是实数域连续性的关键。
无理数是什么?法国数学家柯西(A.Cauchy,1789—1875)给出了回答:无理数是有理数序列的极限。然而这个定义是有缺陷的。这表明,柯西尽管是那个时代的大分析学家,但仍未能摆脱两千多年来以几何直觉为立论基础的传统观念的影响。
变量数学独立建造完备数域的历史任务,终于在19世纪后半叶,由维尔斯特拉斯(Weierstrass,1815—1897)、戴德金(R.Dedekind,1831—1916)、康托(G.Cantor,1845—1918)等人加以完成了。
从无理数的发现至两千多年后,时间到了1872年,这是近代数学史上最值得纪念的一年。这一年,克莱因(F.Kline,1849—1925)提出了著名的“埃尔朗根纲领”,维尔斯特拉斯给出了处处连续但处处不可微函数的著名例子。也正是在这一年,实数的三大派理论:戴德金“分割”理论,康托的“基本序列”理论,以及维尔斯特拉斯的“有界单调序列”理论,同时在德国出现了,实数理论的建立可以说是水到渠成了。努力建立实数的目的,是为了给出一个形式化的逻辑定义,它既不依赖几何的含义,又避免用极限来定义无理数的逻辑错误。这里,戴德金的工作受到了崇高的评价,这是因为,由“戴德金分割”定义的实数,是完全不依赖于空间与时间直观的人类智慧的创造物。
实数的三大派理论本质上是对无理数给出的严格定义,从而建立了完备的实数域。实数域的构造成功,使得两千多年来存在于算术与几何之间的鸿沟得以完全填平,无理数不再是“无理的数”了,古希腊人的算术连续统的设想,也终于在严格的科学意义下得以实现。
从公元前5世纪希帕索斯等人发现了无理数的存在,在历经了漫长的两千多年后,直到19世纪70年代严格的实数理论才被建立起来,人类为此付出了极大的心血。
引进无理数,形成实数系,这是数的概念的第四次扩充。
我们说,实数是稠密且连续的。我们可以用一维的数轴来表示实数,这样数轴上的每一个点都与一个实数相对应;反之,每一个实数都对应数轴上的一个点;由此,全体实数与数轴上的点之间就建立了一一对应关系。
实数可以分为有理数和无理数两类。有理数就是可以表示成两个整数之比的数,它由整数、分数(有限小数和无限循环小数)构成;无理数就是永远都不能表示成两个整数之比的数,也就是说无理数是无限不循环小数。
实数还可以分为代数数和超越数两类。代数数就是满足一元整系数代数方程的数,也就是一元整系数代数方程的根叫做“代数数”。如x2-2=0,x=
虽是一个无理数,但它是一个代数数。所谓超越数,就是永远不能满足一元整系数代数方程的数,叫超越数,超越数一定是无理数。但无理数不一定是超越数。如圆周率π和自然对数的底e都是超越数,它们不可能是某一个一元整系数代数方程的根。
实数还可以分为正实数、负实数和零三类。
实数系的完全建立,可实现的基本运算有加、减、乘、除、乘方等,对非负数(即正数和0)还可以进行开方运算。实数加、减、乘、除(除数不为零)、平方后结果还是实数。任何实数都可以开奇次方,结果仍是实数,只有非负实数,才能开偶次方,其结果也还是实数。
实数集是有序的,即任意两个实数a、b必定满足下列三个关系之一:a<b,a=b,a>b。
实数大小具有传递性,即若a>b,b>c,则有a>c。
实数集R具有稠密性,即两个不相等的实数之间必有另一个实数,既有有理数,也有无理数。
下面我们来举一个例子。
例:证明
是无理数。
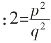
证明:假设
是有理数,必有
(p、q为互质的正整数)
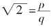
两边平方
,p2=2q2
显然p为偶数,设p=2k(k为正整数)代入上式,
有:4k2=2q2,q2=2k2,显然q也为偶数,这与p、q互质矛盾。
∴假设不成立,故
是无理数。
这里采用的是反证法。
我们说,无理数或超越数虽然不能用两个整数之比(分数)来表示,但是从极限的角度却可以用无限连分数来表示。我们来看下面的问题。
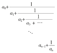
连分数(continued fraction)是特殊的繁分数。一般一个有限连分数表示一个有理数,一个无限连分数表示一个无理数。如果a0,a1,a2,…,an,…都是整数,可将下述形式的连分数分别叫做无限连分数和有限连分数。
无限连分数的一般表达式为:
有限连分数的一般表达式为:
从近代数学的计算需要,还可将连分数中的a0,a1,a2,…,an换成以x为变元的多项式。在近代计算数学中,连分数常与某些递推关系构造的函数应用相联系。
下面我们来看一些用连分数表示的实数。
(1)有理数一定可以用有限连分数来表示,如415/93,表示如下:

(2)无理数的无限连分数表示。
如:
的连分数表示:
设:x2=2,则x2-1=1,(x-1)(x+1)=1,

故:
同理,

欧拉还同时证明,无限连分数表示的一定是无理数。
对于黄金分割数,我们也可以用连分数表示,
设x为黄金分割数,我们有:
x=
,反复利用此式可得:

另外,黄金数还可以表示为
,反复利用此式可得:

黄金分割数是无理数,但不是超越数。
(3)超越数的无限连分数表示。
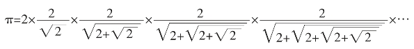
对于超越数π,英国数学家布伦科尔给出的无限连分数表示是:

π也可以用一个无穷数列来表示,德国数学家莱布尼茨给出的表达式是:

关于π,瑞士大数学家欧拉找到了一个收敛更快的漂亮公式:

还有
法国数学家韦达还利用半角公式给出了π的无穷乘积表达式:

英国著名数学家、物理学家牛顿利用反正弦级数也给出了π的无穷级数表达式:

由此我们可以看出,对于超越数π,它虽然不能直接用分数来表示,但是经过数学家们的探究与推理,却可以用无限连分数、无限分数之和(之积)等来表示,这也是人们对无理数“有理化表示”的美好追求。
我们知道,e既是一个无理数,又是一个超越数,它的定义是:

欧拉首先发现了e的连分数表示:

e还有一个著名的展开式:

这些关系式的发现以及无数的数学理论,都是众多科学家、数学家和数学爱好者智慧的结晶,也是人类爱好科学、探索科学的科学精神的崇高体现。我们今天能够轻松地了解和掌握这些知识,那都是无数科学家、数学家经过上百年,甚至上千年辛苦探究的结果,他们不但为数学发展作出了贡献,他们也是人类文明进步的灯塔。