1.7 3.灵活性极强的管理会计

3.灵活性极强的管理会计

■要想应用管理会计,创造性必不可少

为了让公司外部的第三者也能够理解公司状况,财务会计必须按照一定的规则来制作报表。如果每个企业利润表的写法都不同的话,投资家和银行就无法对企业进行比较,难以做出正确的判断。

因此财务会计的报表必须按照公司法和金融商品交易法等法律的规定来制作。另外,还有一个被称为会计政策的东西,在制作报表时必须采用法律许可的会计政策。会计政策有一定的范围(例:在对固定资产进行降价出售时候,是采用定率法还是定额法),在有价证券报告书等官方书面材料上必须明示采用的是哪种会计政策。

与之相对的,管理会计基本上都是面向内部进行说明,所以只要能够让经营者和员工理解,极端地说可以采用任何形式都无所谓。

正因为如此,虽然财务报表上的数字对管理会计来说也是非常重要的指标,但管理会计可以完全自己来制作指标,并且对这些指标进行灵活的运用。不拘泥于条条框框,利用创造性的思维来制作指标,正是管理会计的乐趣所在。

比如对于某企业来说,准确掌握销量内容在事业展开上具有非常重要的意义。所以除了测定最终的总销售额之外,对于其他的销量要素也需要进行详细的测定。

比如便利店行业,准确掌握不同时间段的销售情况,在给员工安排工作时间时就是非常重要的指标。另外,站在便利店总部的立场上来说,希望能够看出各个店铺之间的效率差异。如果只看“总销售额”,反映不出卖场面积的差距等要素,但如果将“销售额”看作是“卖场面积×每单位面积销售额”,就可以很清楚地看出哪家店铺的效率更高。

如果两个商圈人口相仿,而且距离地铁站都很近的店铺,单位面积销售额却存在很大的差距,那么就应该找出导致差距的原因,摸索解决的办法。

“单位面积销售额”其实是零售业经常使用的指标,所以对于拥有行业经验的人来说这可能算不上什么创新。

让我们来看另一个例子。比如将某餐饮店的销售额分解。即便是“销售额”这样单纯的指标,也可以从各种角度将其分解,让具体发生的细节变得“可视化”。如图表1-4所示,如果没有一定程度的创造性,可能会错过一些关键因素。

销售额=

  • 前菜+菜品A+菜品B+菜品C+……
  • 500日元的菜品+501~1000日元的菜品+1001~2000日元的菜品+……
  • 吧台+桌子
  • 现金+刷卡
  • 一人顾客+两人顾客+三人以上+……
  • 只有男性+只有女性+男女混合
  • 公司职员+学生+家人+……
  • 工作日+休息日(节假日)
  • 上午+下午+晚间+深夜
  • 顾客数×客单价
  • 营业时间×单位时间销售额
  • 桌数×每桌销售额
  • 桌数×翻台数×客单价
  • 营业时间×翻台数×客单价
  • 其他店铺销售额×目标比率

图表1-4 将销售额从各个角度分解

是否能够完全监控这些数据,是由企业对IT方面的投资决定的,个体的餐饮店或许很难做到,但如果战略是通过提高“客单价”和“翻台率”来提高销售额的话,那么至少应该对这些数字进行大致的测定,来判断“是否能够实现目标”。

如果翻台率低,那就通过设置2小时的就餐限制来提高翻台率。当然,这可能会导致客单价降低,所以应该在设置2小时限制的同时,采取一些能够切实提高客单价的措施。

另外“翻台率”这个指标还可以进一步分解为“开工率”和“开工的桌位翻台率”。如果翻台率低的原因与“开工率”有关,那就需要采取能够切实提高开工率的措施。开工率在固定费的比率较高的商业活动中是一个非常重要的指标,所以必须予以重视,关于这部分内容我将在第三章中为大家做详细的介绍。

换一个角度来看,如果只有高峰期的开工率很高,那么为了提高平均开工率,可以采取分流高峰期客源的方法,比如提高高峰期的菜品价格,高峰期之外则通过优惠来降低价格,从而实现需求的平均化。

如果连高峰期的开工率都很低,那说明最初的市场分析就存在问题,需要对菜品种类、店铺招牌、宣传单等内容进行根本的修改。

接下来让我们看一个创造性应用管理会计的实例。

著名的星野度假管理集团将顾客满意度作为经营活动中最重要的指标。一般来说,绝大多数的顾客满意度调查表上都只有简单的3个级别“好”“一般”“不好”,稍微仔细点的调查表上会有5个级别,但星野度假管理集团却从“非常满意”到“非常不满意”共有7个级别的评价。还对“入住”“客房”“饮食”等每个项目都有非常详细的调查,从而找出“哪里令顾客满意,哪里令顾客不满”这些仅凭调查表难以发现的内容。

而且,在从-3到+3的7级别评价之中,顾客满意度必须达到平均2.5以上才行。如果以5分满分来看的话,平均2.5相当于4.7以上的高分,由此可见这是非常高的要求。

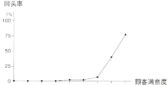
2.5这个数字并不是一拍脑门想出来的,而是在对与顾客满意度关系紧密的回头率(只有感到非常满意的顾客才会成为回头客)和客单价(感到满意的顾客会尝试更多的服务)等指标进行彻底分析后计算得出的。图表1-5表示的就是最典型的度假村中顾客满意度与回头率的关系。

0051-01

图表1-5 典型的度假村中顾客满意度与回头率

星野度假管理集团之所以会像现在这样重视顾客满意度,起因是社长星野佳路氏与厨师长之间发生的争执。当时星野氏希望厨师长能够改变一下菜品的做法,但厨师长却出于身为一名厨师的自尊以“你根本不懂我的手艺”“我的朋友们都说好吃”为由不肯做出改变。

于是星野进行了顾客满意度调查,打算用客观的统计数字来证明那并非是自己的主观意见。调查结果正如星野氏所说的那样,顾客对菜品的满意度很低。厨师长在看到这个客观的数据之后,老老实实地对菜品的做法进行了改良。

也就是说,将顾客满意度这样一个平时很难看出来的要素,通过调查表的统计数字将其“可视化”,从而实现经营层面上的改善。

星野度假管理集团还构筑起了一个从高层领导、经理到兼职员工和钟点工全员共享顾客满意度数据的体制,力求使顾客满意度彻底“可视化”。

尽管很多企业都进行顾客满意度调查,但彻底实施并且应用在经营活动之中的大概只有星野度假管理集团,可以说是非常独特而且具有创造性的系统。

同样,京瓷的阿米巴经营模式也是非常具有创造性的管理会计实例之一。所谓阿米巴经营模式,指的是由十几人到几十人组成的小型组织“阿米巴”自负盈亏,追求各自阿米巴的利益最大化(其中所采用的包括“差额利润”在内的指标都非常独特,关于这部分内容我将在此处进行详细的说明)。通过将组织分成许多个小单位,可以更加迅速地应对市场变化。

销售部门可以成为阿米巴,生产部门也可以成为阿米巴。销售阿米巴向生产阿米巴购买产品。价格(这种在公司内部的交易价格被称为“转移价格”)可以由阿米巴之间协商决定。普通的企业工厂,一般来说并没有决定价格的机会。但在京瓷的阿米巴组织之中,如果生产阿米巴不小心以低廉的价格将产品卖给销售阿米巴的话,那么自己的业绩就会受到影响。于是,生产阿米巴除了要努力交涉之外,还要努力生产出能够卖出高价的产品。京瓷还将几个重要指标在整个公司内部公开,培养各个组织相互之间的竞争意识。

像星野度假管理集团的顾客满意度调查和京瓷的阿米巴经营模式这样,自由地设定指标并且将其应用在组织管理之中,正是管理会计的魅力以及效用所在。

■不要过分重视数字

很多人在学习会计时都会非常认真,但实际上在商业现场应用管理会计时,绝对不能被数字所束缚。尽管在商业活动中不能完全无视数字,但如果对数字过于重视被数字所束缚的话,反而会产生弊端。

在应用管理会计时,切忌墨守成规,更不能拘泥于数字。因为现实中的商业事业与封闭的实验室不同,数字本身就存在某种程度的误差,在对数字进行测定后得到的答案往往也不是唯一的。我们只能从多个答案之中,选出在自己努力范围内能够实现的最好结果。所以这个答案可能是“当时的最佳选择”,而不是唯一绝对的正确答案。

对数字过分重视,会使人变得盲目。正确的做法是,该准确的地方准确,差不多就行的地方差不多就可以了。关键在于找到一个适当的平衡。

根据笔者的经验,在对数字的准确性要求不高的情况下,更有效率地收集数据然后共享往往会取得更好的效果。与其在结算日之后一个月才拿出订单额3768万1256日元这个非常准确的数字,不如在结算日当天拿出订单额大约在3770万日元左右这个大致的数字。所以最好的做法是在保持效率的同时拿出“Good Enough”(足以让商业活动顺利进行)的数字

在本章的最后,我还想再强调一点。

有些人认为,管理会计只要搞清楚数字就好,但这实际上是错误的想法。管理会计并不是孤立的,必须和组织论、运营、日常交流和战略实行联系到一起才能够发挥出真正的力量。如果不能够随着交流方式和领导能力的进化同时进化,管理会计终将被时代所淘汰。

反之,如果充分理解了管理会计,那么同样也能够理解运营和管理,对组织论也能够有一定程度的掌握。在构筑商业模式时,管理会计的思想也能够发挥出重要的作用。尽管想要灵活应用管理会计的思考方法难度很高,可是一旦掌握了这种能力,将极大地提高你身为商界人士的适应性。