第七章 记忆过载
演化并没有让人有踢足球赛的能力。确实,演化让人有脚能踢球,有肘能犯规,还有嘴能骂人,但这些加起来,顶多就是让人能自己玩玩球而已。想在某个下午和球场上的陌生人一起来踢场足球赛,不只得和10个可能从未见过面的人合作当队友,还得知道对方11个人也会遵守一样的规则。有些时候,其他动物也会和陌生同类合作,进行仿若仪式的侵略举动,但通常都是出于其本能。例如小狗有时候会玩得滚来滚去、咬来咬去,但那是深植于它们基因里的设计。只不过,我们人类的孩子可没什么玩足球的基因设计。我们之所以能和完全陌生的人踢球赛,是因为大家都学过同样一套的足球规则。这些规则全部都是想象出来的,不过只要大家都同意,还是能玩得十分开心。
这种情况同样适用于像是王国、教会或贸易网络等较大的规模,只有一项重要区别:复杂的程度不同。相对来说,足球的规则简单明了,很像是过去采集时代各个小部落或小村庄之间要合作时的共识。所有球员都可以轻轻松松把规则全部记在脑子里,同时大脑还有余裕记得一些歌曲、影像,甚至是待会儿要买什么。只不过,如果不是像这样只有22个人要合作,而是有几千甚至几百万人要合作,需要储存及处理的信息量就会极度庞大,绝不是任何单一人脑所能记忆处理的。
某些其他物种(像是蚂蚁和蜜蜂)也能形成大型社会,而且稳定又灵活。但这是因为它们的基因组里就已经储存了合作所需的大部分信息。蜜蜂的未受精卵会发育成雄蜂,受精卵则发育成雌蜂,但雌蜂幼虫依据被喂食的食物不同,长大后可能成为蜂后,也可能成为一般的工蜂。在它们的DNA里,已经为两种不同角色都设定好必要的行为模式,前者让它能母仪天下,后者则让它尽心尽力、认真工作。蜂巢里的社会结构非常复杂,有许多不同种类的工蜂,有的负责觅食,有的负责照护,有的负责清洁等等。但到目前为止,我们可没人见过有蜜蜂当律师负责打蜜蜂官司。之所以蜜蜂不需要律师,是因为不会有蜜蜂打算违反什么蜂巢宪法,认为清洁蜂不该有生命权、自由权和追求幸福的权利。
但人类可就不同了,这种事总是不断发生。因为智人的社会秩序是通过想象建构,维持秩序所需的关键信息无法单纯靠DNA复制就传给后代,需要通过各种努力,才能维持种种法律、习俗、程序、礼仪,否则社会秩序很快就会崩溃。举例来说,汉谟拉比国王将人分成上等人、平民和奴隶,但这件事并不存在于人类的基因组里,并不是一个自然的区分方式。如果巴比伦人无法让大家的心里都有这项“真理”,整个社会就会停止运作。同样,就算是汉谟拉比本人,他后代的DNA里也没记载着上等人如果杀了个平民女性就该付30舍客勒的银子。汉谟拉比必须特地教导他的儿子,告诉他帝国的法律是如何如何,以后再由儿子来教孙子,以此代代相传。
一个帝国要运作,会产生大量的信息。除了法律之外,帝国还必须记录各种交易和税收、军用物资和商品的库存量,还有各种节庆及打胜仗的日期。在先前的几百万年间,人类只有一个地方可以记录信息:他们的大脑。但很遗憾,对于整个帝国这么大的数据量来说,人类的大脑并不是个很好的储存设备,主要原因有三。
第一,大脑的容量有限。确实有些人记忆力惊人,而且古代也有人专门研究记忆术,整个省的地形地势了然于胸,整部国家法典倒背如流。尽管如此,还是有连记忆大师也无法超越的限制。像是律师就算能把整个马萨诸塞州的法条都背下来,也不可能把从17世纪塞勒姆(Salem)女巫审判以降所有诉讼细节全记得一清二楚。
第二,人类总难免一死,而大脑也随之死亡。所以,任何储存在大脑里的信息多半在一个世纪内就会消失。当然,我们可以把记忆从一个大脑传达到另一个大脑里,但传递几次之后,信息总是会开始乱成一团或是遭到遗忘。
第三,也是最重要的一点,在于人类的大脑经过演化,只习惯储存和处理特定类型的信息。为了生存,远古的狩猎采集者必须能够记住数千种动植物的形状、特性和行为模式。像是他们必须记住,一朵皱巴巴的黄色菇类,如果是在秋天长在榆树下,就很有可能有毒,但如果是在冬天长在橡树下,却是种很好的胃药。此外,狩猎采集者也得记住部落里几十个人彼此的意见和关系。例如假设露西需要部落里有人帮她挡住约翰,叫他别来骚扰她,就很需要记得像是约翰上周与玛丽吵了一架,所以现在找玛丽准没错。因此,演化压力让人类的大脑善于储存大量关于动植物、地形和社会的信息。
然而在农业革命之后,社会开始变得格外复杂,另一种全新的信息类型也变得至关重要:数字。采集者以前从来不需要处理大量的数字。例如采集者不用记得森林里每棵树上有几个果子;也因此,人类的大脑不习惯储存和处理数字。然而如果要管理一个大国家,数字可以说是一大关键。国家光是立法、讲些关于守护神的故事还不够,像是收税这种事就万万不可少。而为了向数十万国民收税,国家就必须先收集关于国民收入及财产的数据,关于付款的数据,关于欠款、债务和罚款的数据,关于折扣及豁免的数据。这些数字总共会有几百万的数据位需要储存和处理。国家要是无法应付,就永远不知道手中有什么资源,未来又能利用什么资源。但对大多数人来说,讲到要记忆、回忆、处理这些数字,不是觉得脑力超载,就是觉得昏昏欲睡。
这种人脑的限制大大局限了人类合作的规模和程度。如果某个社会的人数和物品的数量超过某个临界值,就必定需要储存和处理大量的数字数据。但人脑又力有未逮,于是系统也就崩溃。正因如此,就算在农业革命后的数千年间,人类的社会网络还是相对规模较小,也相对简单。
最早克服这项问题的是远古美索不达米亚南部的苏美尔人。当地艳阳高照、平原肥沃,发展出发达的农业、繁荣的城镇。随着居民人数增长,要协调各项事务所需的信息也不断膨胀。在公元前3500年~公元前3000年之间,一些不知名的苏美尔天才发明了一套系统,可以在人脑之外储存和处理信息,专为处理大量数字数据所量身打造。从此,苏美尔人的社会秩序不再受限于人脑的处理能力,而开始能走向城市、王国和帝国。苏美尔人所发明的这套数字处理系统,正是“书写文字”。
由库辛签核
文字是采用实体符号来储存信息的方式。苏美尔文字系统结合了两种类型的符号,刻印在黏土泥板上。第一种符号代表的是数字,分别有符号可以表达1、10、60、600、3600,以及36000。(苏美尔人的数字系统分别以6和10作为基数。即使到现在,人类生活还是处处可见以6为基数,像是一个圆有360度,一天有24小时。)另一类型的符号则代表人、动物、商品、领土、日期等等。结合这两种符号,苏美尔人能够记下的数据量就能够远胜于任何大脑的容量或任何DNA所含的基因码。
在早期,文字只用来记录事实和数字。就算苏美尔人当时真的有过小说,也从来不曾刻印到泥板上。毕竟,当时要写下文字不仅耗时,而且能阅读的群众又太少,所以除了必要的记录之外,实在没有书写的必要。如果我们想知道人类的祖先在5000年前写下了什么智慧的话语,很可能就会非常失望。举例来说,目前找到人类祖先最早留给我们的信息是“29086单位大麦37个月库辛”。这句话最有可能的解读是:“在37个月间,总共收到29086单位的大麦。由库辛签核。”很遗憾,人类史上的第一个文本不但不是哲学巧思,不是诗歌,不是传奇,不是法律,甚至也不是对王室歌功颂德,而是无聊至极的财经文件,记录各种税务、债务以及财产的所有权。

图13 来自古城乌鲁克(Uruk)大约公元前3400~公元前3000年的泥板,记载着当时的行政文书。这块泥板清楚记载着在37个月内收到了29086单位的大麦(大约3800蒲式耳),并由名叫“库辛”的人签核。这里的“库辛”可能是当时的某个职称,又或是某个人的名字。如果库辛真的是个名字,他可能就是史上第一个我们知道名字的人!所有先前我们使用的名称,像是“尼安德特人”、“纳图芬人”、“雪维洞穴”、“哥贝克力石阵”,都只是现代人为它们取的名字。像是哥贝克力石阵,我们其实并不知道当时建造它的人怎么称呼这个地方。而在文字出现之后,我们终于能够再通过当时人的耳朵,“听到”一些历史。很有可能,当时库辛的邻居就会朝着他大叫“库辛!”这个声音。这一切说明,史上第一个记下的名称或名字,是属于一个会计师,而不是什么先知、诗人,或是伟大的征服者。41
除此之外,远古时代只有另一个其他类型的文本幸存,而且甚至比那块泥板更无趣:就只是一堆单词,由当时的文士一再重复抄写,作为练习。而且,就算当时的学生已经抄账单抄到深感无聊,想要自己写首诗,客观条件也并不允许。最早的苏美尔文字只能部分表意(partial script),而无法完整表意(full script)。所谓完整表意,指的是这套符号能够大致完整表达出口头语言;这样一来,就能表达一切人类口传的内容,包括诗歌。但另一方面,所谓部分表意,就是指这套系统只能呈现特定种类的信息,局限于特定领域的活动。举例来说,拉丁文、古埃及象形文字和盲人点字都能够完整表意,不论是税条、史书、商业法律,或是情诗和历史著作,全部难不倒它。相较之下,最早的苏美尔文字就像是现代的数学符号和音乐符号,只能部分表意。例如数学符号虽然能用来计算,但要写情诗就做不到了。

虽然部分表意的文字系统无法完整传达人类的口语,但也能表达一些不在口语范围内的意义。像是苏美尔文字、数学符号,虽然不能拿来写诗,但讲到记账收税可是效率一流。
对苏美尔人来说,苏美尔文字不能拿来写诗似乎并不是什么大问题。毕竟他们发明文字的目的不在于复制口语,而是想要完成一些口语没做到的事。像是在哥伦布抵达美洲之前,安第斯山脉就有一些文化,从来就只有部分表意的文字,他们并不会觉得这样不够用,也不觉得有必要发展成完整表意的文字。安第斯文化的文字和苏美尔文字大有不同,不同的程度大到有很多人甚至不认为这是一种文字。这些文字不是写在泥板或纸张上,而是在各种颜色的绳子上打结来表示,称为“结绳语”(quipu)。每个结绳语的文本都有许多不同颜色的绳子,材质可能是羊毛,也可能是棉花。在每根绳子的各种位置上绑着几个结。光是一个结绳语文本,就可能有数百条绳子、几千个结。通过这些不同颜色、不同绳子、不同打法的结,安第斯文化就能记录大量的数字数据,像是税收或是财产所有的数据。42

图14 12世纪的安第斯文化结绳语。
而数百甚至数千年来,对于当地城市、王国和帝国的商业来说,结绳语都不可或缺。43结绳语在印加帝国时间达到鼎盛,当时印加帝国人口约有10万到12万,疆域包括今日的秘鲁、厄瓜多尔和玻利维亚,以及部分的智利、阿根廷和哥伦比亚。这样庞大的帝国需要复杂的行政系统,也就需要储存和处理大量数据,要是没有结绳语,绝对是不可能的任务。
事实上,正因为结绳语有效又准确,就算在西班牙人占领南美之后,还是用结绳语来管理他们建立的新帝国。但问题在于,西班牙人并不知道该如何记录和阅读结绳语,一切有赖于当地专业人士协助。而这些新的统治者便意识到,这让当地的结绳语专家能够轻易欺瞒误导这些统治者,情势大大不利。所以等到西班牙的统治势力站稳扎根,就全面废弃了结绳语,所有记录改用拉丁文和数字。而在西班牙占领过后,结绳语文本绝大多数均已逸失,即使幸存,也因为能阅读的人才凋零,而成了无人能懂的文本。
官僚制度的奇迹
终于,美索不达米亚人开始希望除了无聊的数字数据外,还能写些别的东西。在公元前3000年~公元前2500年间,苏美尔文字系统逐渐加入越来越多的符号,成为能够完整表意的文字,今天它们被称为楔形文字。到了公元前2500年,国王已经能用楔形文字颁布法令,祭司用它来记录神谕,至于一般平民大众则是用来写写信。差不多同一时间,埃及也发展出另一种能够完整表意的文字——古埃及象形文字。另外,中国在大约公元前1200年、中美洲各地在公元前1000年至公元前500年间,也都发展出了完整表意的文字。
从以上这些最初的中心,完整表意的文字开始向四方远扬,发展出各种形式以及新的用途,让人开始用文字来写诗、编史、耍浪漫、演戏剧、提预言,甚至是记食谱。然而,文字最重要的任务仍然是记录大量的数字数据,而这也是部分表意文字的特别强项。无论是希伯来的《圣经》、希腊的史诗《伊利亚特》、印度的长叙事诗《摩诃婆罗多》,还是佛教的《大藏经》,一开始都是口述作品。这些作品世世代代靠的都是口传,就算没有发明文字,也还是会继续再传下去。但讲到税务登记和复杂的官僚制度,就要等到部分表意的文字出现后才应运而生,而且就算到了今天还是像连体婴儿一样密不可分;种种计算机数据库和电子表格,藏着不为外界所知的秘密。
随着越来越多的事情通过文字记载,特别是行政档案数据变得无比庞杂,也就出现了新的问题。记在人脑里的信息找起来非常方便。以我自己为例,虽然我的大脑里藏着几千兆位的数据,但我可以几乎是立刻想起意大利首都的名字,再想起我在2001年“9·11”事件那天做了什么,还能马上想出从我家到耶路撒冷希伯来大学的路线。至今,大脑为何能做到这样仍然是一个谜,但我们都知道它的检索系统效率惊人。(只不过,找钥匙这件事可能是个例外。)
如果是结绳语的绳子或是写着文字的泥板,又该怎么检索数据?如果只有个10片甚至100片的泥板,都还不是个问题。只不过,若是与汉谟拉比同时代马里(Mari)城邦的国王齐默里宁(Zimrilim),已经累积了数千片泥板,该怎么办?
想象一下在公元前1776年。两个马里人在争论一片麦田的所有权。雅各布言之凿凿,说他早在30年前就向以扫买了这片田。但以扫不同意,说他是把这片地租给雅各布,租期30年,现在租期到了,他要收回土地了。双方火气上升,开始互相叫嚣推打,但他们忽然想到,可以到王室的档案库去查查,那里有全王国房地产相关的记录和数据。但等抵达了档案库,他们就被各部门的人像皮球一样踢来踢去,叫他们先坐下来喝杯青草茶休息等等,或是明天请早些再来。好不容易才终于有个承办人员一边碎碎念一边带着他们去找相关的泥板。承办员打开一扇门,来到一个巨大的房间,从地板到天花板堆积着成千上万片的泥板。也难怪承办人员心情糟,他该怎样才能找到记着30年前麦田合约的那块泥板?而就算找到了,又怎么能知道这块30年前的泥板就是关于这片麦田的最新合约?另外,如果找不到这块泥板,难道就能说以扫从未出售或出租这片麦田吗?会不会只是泥板搞丢了,或是某次下雨渗水把它给溶了?
显然,光是把记录压印在泥板上,并没办法让数据处理有效率、准确和方便。我们还需要有组织工具(像是编目)、快速的复制工具(像是复印机)、快速准确的检索工具(像是计算机运算),而且还得有够聪明(最好心情还能好一些)的负责人员,能够了解这些工具的使用方法。
事实证明,发明这些工具要比发明书写文字难上太多了。许多时地都相差甚远的文化,都各自发展出了自己的文字系统。每隔几年,总有考古学家又发现了其他某种被遗忘的文字,甚至有些还可能比苏美尔泥板更久远。但这些文字多半就只是些新鲜但不实用的发明,原因就在于这些文化没能找出方法来有效编目和检索数据。而苏美尔、古埃及、古中国和印加帝国的特殊之处,就在于这些文化都发展出了良好的技术,能够将文字记录予以归档、编目和检索,另外还投入资本培养人才来负责抄写、数据管理和会计事务。
考古学者在美索不达米亚发现了一份当时的书写作业,让我们得以一窥大约4000年前的学生生活:
我走进去坐下,老师来检查我的泥板。
他说:“你漏了一些东西!”
然后他就用棍子打我。
另一个管事的人说:“未经我允许,你竟敢讲话?”
然后他就用棍子打我。
管秩序的人说:“未经我允许,你竟敢站起来?”
然后他就用棍子打我。
看门的说:“未经我允许,你竟敢出去?”
然后他就用棍子打我。
管啤酒壶的说:“未经我允许,你竟敢倒啤酒?”
然后他就用棍子打我。
苏美尔语的老师说:“你竟敢说阿卡德语?”[4]
然后他就用棍子打我。
我的老师说:“你的字很丑!”
然后他就用棍子打我。44
古代的抄写员不但得会读会写,还得知道如何查目录、辞典、日历、表格和图表。他们得要学习并内化种种编目、检索和处理信息的技巧,而且这些都和大脑原本内建的机制非常不同。在大脑里,所有数据都自由地互相联结。像是我在和另一半一起去办新家抵押贷款的时候,就想到我们一起住的第一个地方,这又让我想到去新奥尔良度的蜜月,再想到鳄鱼,再想到西方的恶龙,再想到歌剧《尼布龙根的指环》;结果我不知不觉就哼起了歌剧里面齐格飞的主旋律,把银行职员搞得一头雾水。对官僚制度来说,各种数据必须清楚分开。一个抽屉放住宅抵押贷款,一个放结婚证书,第三个放税务登记材料,第四个放诉讼案件卷宗。否则哪知道该到哪去找?而如果有某件事情同时属于很多个抽屉(例如华格纳的音乐剧究竟该算是“音乐”还是“戏剧”?还是该干脆另列一类?),可就头痛了。所以,这些制度总是在不停新增、删除和重新分配这些抽屉。
为了要让工作顺利,操作这种抽屉系统的人必须接受训练,思考的方式不能像一般人,而得有专业文书和会计的样子。从古至今,我们都知道文书和会计的想法就是有点没人性,像个文件柜一样。但这不是他们的错。如果他们不这样想,他们的抽屉就会一片混乱,也就无法为政府、公司或组织提供所需的服务。而这也正是文字对人类历史所造成最重要的影响:它逐渐改变了人类思维和看待这个世界的方式。过去的自由连接、整体思考,已经转变为分割思考、官僚制度。
数字的语言
几个世纪过去,官僚制度式的数据处理方式与人类自然思考方式的差异越来越大,重要性也越来越高。还不到9世纪的时候,发明了另一种部分表意的文字,让储存和处理数字数据的效率一日千里,成为重要的里程碑。这种文字是由10个符号组成,代表从0到9的数字。很容易让人搞错的一点在于,虽然这些符号现在被称为“阿拉伯数字”,但其实是印度人发明的。而且现代阿拉伯人自己还用了一组和西方颇不相同的数字符号系统,就更叫人一头雾水。之所以现在我们会称“阿拉伯数字”,是因为阿拉伯人攻打印度时发现了这套实用的系统,再加以改良传到中东,进而传入欧洲。等到有几个其他符号加入了阿拉伯数字系统(例如加号、减号、乘号),就成了现代数学符号的基础。
虽然这整套系统仍然只是种部分表意的文字符号,但这已经成为全世界的一大重要语言。几乎所有的国家、企业、组织和机构,不管讲的是阿拉伯语、印度语、英语还是挪威语,都必须使用数学符号来记录及处理数据。只要能将信息转成数学符号,储存、传播和处理的速度和效率就能快到令人叹服。
因此,如果哪个人想打动政府、组织和企业,就必须学会“用数字说话”。而专家也费尽心力,甚至像是“贫穷”、“幸福”和“诚实”这些概念,都能翻译成一个又一个的数字,成了“贫穷线”、“主观幸福感程度”、“信用等级”。而像是物理和工程方面,几乎整个知识领域都快要和人类的口语语言脱节,而由数学符号独挑大梁。

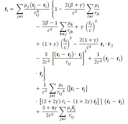
这是根据相对论所推导出来的公式,能够计算质量重力加速度。大多数一般人只要见到这个公式一眼就只能瞠目结舌,像是鹿在路上被车灯照到一样。这种反应其实很自然,并不代表这个人天生愚鲁或是缺乏好奇。除了极少数例外,人类大脑就是没有思考像是相对论或量子力学这些概念的能力。物理学家之所以能这样思考,是因为他们抛下了传统的人类思维方式,从头学习如何在外部数据处理系统的协助下思考。他们的思考过程有很重要的一部分并不是在他们的脑子里,而是在计算机里或是教室黑板上。
近来,数学符号已经带来另一种更革命性的文字系统,计算机所使用的二进制程序语言,全部只有两个符号:0与1。就像是现在我用键盘打到计算机上的所有文字,也都是由0和1的组合所呈现。
* * *
文字本来应该是人类意识的仆人,但现在正在反仆为主。计算机并无法理解智人如何说话、感觉和编织梦想,所以我们现在反而是用一种计算机能够理解的数字语言来教智人如何说话、感觉和编织梦想。
而且这还没完。人工智能的领域还希望能够完全在计算机二进制的程序语言上创造一种新的智能。像是科幻电影《黑客任务》或《魔鬼终结者》,就都预测着总有一天这些二进制语言会抛下人性给它们的枷锁,而人类想要反扑的时候,它们就会试图消灭人类。
[4] 就算当时大家都讲阿卡德语,但苏美尔语仍然是官方语言,也是各项记录所用的语言。因此立志成为抄写员的人就得讲苏美尔语。