1
无网格法理论及MATLAB程序
1.5.4.1 3.4.1 光滑应变
3.4.1 光滑应变

广义梯度光滑算子[64,65]作用于协调应变ε(x)

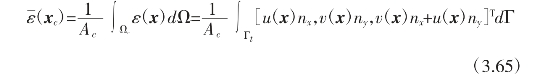
其中为节点xc处的光滑应变,Φ 为光滑函数,满足 Ω∫Φ(x;x-xc)dΩ=1。简单起见,取

其中Ac= Ωc∫dΩ 为光滑区域Ωc的面积。

将公式(3.64)代入公式(3.63),有

其中nx和ny分别为光滑区域边界Γc上的单位外法线沿坐标轴方向的分量;u 和v 分别为沿坐标轴方向的位移分量。

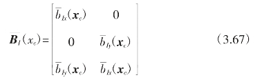
将MLS 近似代入方程(3.65),则光滑应变为

其中称为光滑应变矩阵,具体形式为

其中