四、水溶性维生素
(一)维生素B1
维生素B1(结构如下)又称硫胺素,由嘧啶环和噻唑环通过亚甲基结合而成的一种B 族维生素。为白色结晶或结晶性粉末;味苦,有引湿性,易吸收水分。在酸性溶液中很稳定,在碱性溶液中不稳定,易被氧化和受热破坏。还原性物质亚硫酸盐、二氧化硫等能使维生素B1 失活。维生素B1(硫胺素)与焦磷酸生成硫胺素焦磷酸(Thiamine pyrophosphate,TPP)即羧化辅酶(cocarboxylase),在糖代谢中有着重要作用。

1.维生素B1的吸收与代谢过程
食物中的维生素B1 有三种形式,即游离形式、硫胺素焦磷酸酯和蛋白磷酸复合物。结合形式的维生素B1 在消化道裂解后在空肠和回肠被吸收。口服维生素B1,在胃肠道主要是十二指肠吸收。吸收后可分布于机体各组织中,也可进入乳汁,体内不储存。大量饮茶会降低肠道对维生素B1的吸收;叶酸缺乏可导致维生素B1 吸收障碍。维生素B1 在肝、肾和白细胞内转变成硫胺素焦磷酸酯,经肾排泄,不能被肾小管再吸收。血浆半衰期约为0.35 h,在体内不储存,故短期缺乏即可造成丙酮酸在体内的蓄积,从而扰乱糖代谢。
2.维生素B1的生理功能
维生素B1(硫胺素)与焦磷酸生成硫胺素焦磷酸即羧化辅酶,在糖代谢中对丙酮酸脱羧分解和α-酮酸的氧化脱羧起辅酶作用,促进糖代谢。
维生素B1 是维持心脏、神经及消化系统正常功能所必需的。维生素B1 促进糖的代谢并可通便,而糖是神经的主要养分,神经组织的主要能量来源于糖代谢。维生素B1 能保持脑、神经和肌肉的功能正常,预防多发性神经炎、脑灰质炎、精神疲劳和倦怠。维生素B1 可以预防心脏病,被称为“心脏与神经的维生素”。维生素B1 预防脚气病,“吃糙米,可以治脚气病”是因为糙米中的维生素B1 含量比较高。
维生素B1 缺乏时,导致线粒体功能紊乱和慢性氧化应激,出现脚气病、Wernicke(韦尼克氏)脑病及Korsakoff 综合症(多神经炎性精神病),引起浮肿、流产、早产等,这两者均被认为是抑郁症发病的潜在机理。补充维生素B1 能改善产后抑郁症。
维生素B1 缺乏时,造成糖代谢的障碍,引起神经组织的供能减少,进而产生神经组织功能异常,磷酸戊糖代谢障碍,影响磷脂类的合成,使周围和中枢神经组织出现脱髓鞘和轴索变性样改变。

3.维生素B1的摄取
随着中国正进入快速的营养转型期,谷物的过度加工以及脂肪和动物性食物供能比例的显著提高使得我国居民维生素B1 摄入水平呈现逐年下降的趋势。
维生素B1 是人体能量代谢,特别是糖代谢所必需的,当人体的能量主要来源于糖类时,维生素B1的需要量大。维生素B1 大剂量用药时,可能发生过敏性休克。
成人每日推荐摄入维生素B1 1.0~1.5 mg。维生素B1 在小麦胚芽、全谷物、蛋黄、鱼卵、动物肾脏和肝脏、酵母、菠萝含量较高。
(二)维生素B2
维生素B2(化学式:C17H2ON4O6,式量376.37,结构如右所示)又叫核黄素,微溶于水,在碱性溶液中容易溶解,在强酸溶液中稳定。耐热、耐氧化,光照及紫外照射引起不可逆的分解。
1.维生素B2的生理功能
维生素B2 在人体内以黄素腺嘌呤二核苷酸(FAD)和黄素单核苷酸(FMN)两种形式参与氧化还原反应,其分子中异咯嗪上1,5 位N 存在的活泼共轭双键,既可做氢供体,又可做氢受体,起传递氢的作用,是机体中一些重要的氧化还原酶的辅基。这一类酶又叫脱氢酶,如琥珀酸脱氢酶、黄嘌呤氧化酶及NADH 脱氢酶等。FAD 和FMN 作为辅基主要参与呼吸链能量产生,氨基酸、脂类氧化,嘌呤碱转化为尿酸,芳香族化合物的羟化,蛋白质与某些激素的合成,叶酸的代谢,色氨酸转化为尼克酸,维生素B6 转化为磷酸吡哆醛等过程。
维生素B2 提高肌体对蛋白质的利用率,促进生长发育,维护细胞膜的完整性,保护皮肤毛囊黏膜及皮脂腺的功能,保护眼睛,预防和消除口腔生殖综合症,如口腔内、唇、舌及皮肤的炎反应,是肌体组织代谢和修复的必需营养素。
维生素B2 与机体铁的吸收、储存和动员有关,其抗氧化活性与黄素酶-谷胱甘肽还原酶有关。维生素B2 促进乳汁分泌、益肝、止痒、抗焦虑,调节肾上腺素的分泌,预防动脉硬化,增进脑记忆功能。
维生素B2 堪称人体的解毒大师,分解有害物质。牛油、火腿和酱油中的添加物在进入人体内之后,可以被维生素B2 转化为无害的物质。
2.维生素B2的吸收与代谢
维生素B2 是水溶性维生素,容易消化和吸收。膳食中的大部分维生素B2 是以黄素单核苷酸(FMN)和黄素腺嘌呤二核苷酸(FAD)辅酶形式和蛋白质结合存在,进入胃后,在胃酸的作用下,与蛋白质分离,在上消化道转变为游离型维生素B2 后,在小肠上部被吸收。当摄入量较大时,肝肾常有较高的浓度,但身体储存维生素B2的能力有限,超过肾阈即通过泌尿系统,以游离形式排出体外,因此每日必需由饮食供给。
3.维生素B2的摄取
维生素B2 摄入不足,酗酒某些药物(如治疗精神病的普吗嗪、丙咪嗪,抗癌药阿霉素,抗疟药阿的平等)抑制维生素B2 转化为活性辅酶形式,引发维生素B2的缺乏症。维生素B2缺乏可出现以下症状:
(1)口腔-生殖综合征(orogenital syndrome)。
口部:嘴唇发红、口角呈乳白色、有裂纹甚至糜烂、口腔炎、口唇炎、口角炎、口腔黏膜溃疡、舌炎、肿胀、疼痛及地图舌等。
眼部:睑缘炎、怕光、易流泪、易有倦怠感、视物模糊、结膜充血、角膜毛细血管增生、引起结膜炎等。
皮肤:丘疹或湿疹性阴囊炎(女性阴唇炎)、鼻唇沟、眉间、眼睑和耳后脂溢性皮炎。
阴囊炎:最常见,分红斑型、丘疹型和湿疹型,尤以红斑型多见,表现为阴囊对称性红斑,境界清楚,上覆有灰褐色鳞屑;丘疹型为分散在群集或融合的小丘疹;湿疹型为局限性浸润肥厚、苔藓化,可有糜烂渗液、结痂。
(2)胎儿发育不良,儿童生长迟缓,轻中度缺铁性贫血。
(3)人体腔道内的黏膜层出现病变,黏膜细胞代谢失调,黏膜变薄、黏膜层损伤、微血管破裂。对于女性生殖器官所造成的伤害则更为严重,如阴道壁干燥,阴道黏膜充血、溃破,造成性欲减退、性交疼痛,畏惧同房。
成人每日需维生素B2 1.2~1.7 mg。维生素B2 在各类食品中广泛存在,但通常动物性食品中的含量高于植物性食物,如各种动物的肝脏、肾脏、心脏、蛋黄、鳝鱼以及奶类等。许多绿叶蔬菜和豆类含量也多,谷类和一般蔬菜含量较少。
由于核黄素溶解度相对较低,肠道吸收有限,故一般来说,核黄素不会引起过量中毒。摄取过多,可能引起瘙痒、麻痹、流鼻血、灼热感、刺痛等。
(三)维生素B3(烟酸)
维生素B3,也称作烟酸,或维生素PP,又名尼克酸,还包括其衍生物或尼克酰胺。(分子式C6H5NO2,结构如右所示),它耐热,能升华,是一种水溶性维生素。烟酸在人体内转化为烟酰胺,烟酰胺是辅酶Ⅰ和辅酶Ⅱ的组成部分,烟酸、烟酰胺均溶于水及酒精,性质比较稳定,酸、碱、氧、光或加热条件下不易被破坏;在高压下,120 °C,20 min 也不被破坏。一般加工烹调损失很小,但会随水流失。

1.维生素B3的吸收与代谢
烟酸和烟酰胺几乎全部在胃和小肠吸收,低浓度时依赖钠的易化吸收,高浓度时则以被动扩散为主。在血流中的主要形式是烟酰胺。烟酸存在于所有细胞中,仅少量可在体内储存,过多的烟酸在肝中甲基化成为甲基烟酰胺和2-吡啶酮自尿排出。
烟酸经氨基转移作用生成烟酰胺,烟酰胺与磷酸核糖焦磷酸反应形成烟酰胺单核苷酸,后者与ATP 结合成烟酰胺腺嘌呤二核苷酸(nico-tinamide adenine dinucleotide,NAD),又称辅酶Ⅰ(Co Ⅰ)。NAD 与腺苷三磷酸(ATP)结合成烟酰胺腺嘌呤二核苷酸磷酸(nico-tinamide adenine dinucleotide phosphate,NADP),又称辅酶Ⅱ(CoⅡ)。NAD 与NADP起脱氢辅酶的作用,为细胞氧化还原反应的主要辅酶。烟酸可由色氨酸转化而来,色氨酸先变成犬尿氨酸,需要色氨酸吡咯酶与甲酰酶,水解甲酰犬尿氨酸为犬尿氨酸,再由1-犬尿酸水解酶分解犬尿酸或黄尿酸为3-羟氨基苯甲酸,然后在5-磷酸核糖焦磷酸的作用下,由哺乳类肝脏的酶系统变成烟酸。膳食中约15%的色氨酸可转化为烟酸,色氨酸转化为烟酸的效率受到各种营养素的影响,当维生素B6、维生素B2 和铁缺乏时,其转化变慢,当蛋白质、色氨酸、能量和烟酸的摄入受限制时,色氨酸的转化率增加。
烟酸经代谢后的产物为N′-甲基烟酰胺及N′-甲基-2-吡酮-5-甲酰胺,前者为尿中排泄量的20%~30%,后者为尿中排泄量的40%~60%。也有与甘氨酸结合而成的烟酰甘氨酸。
2.维生素B3的生理功能
烟酸在体内以辅酶Ⅰ、辅酶Ⅱ形式作为脱氢酶的辅酶,在生物氧化中起递氢体的作用,参与葡萄糖酵解、丙酮酸代谢、戊糖的生物合成、氨基酸、蛋白质、嘌呤、脂质代谢,在动物的能量利用及脂肪、蛋白质和碳水化合物合成与分解方面都起着重要的作用。
烟酸促进血液循环,降低血浆甘油三酯,抑制胆固醇的形成,具有降血脂、降血压下的作用,是防治心血管疾病的优良药物。
烟酸是人体抗糙皮病因子,使皮肤健康,可用于糙皮病、舌炎、口炎及其他皮肤病的防治。
烟酸提高锌和铁的利用,烟酸缺乏时锌吸收率、肠道锌和肝内铁的含量明显降低。
烟酸促进消化系统的健康,减轻胃肠障碍,减轻腹泻现象。有较强的扩张周围血管作用,临床用于治疗头痛、偏头痛、耳鸣、内耳眩晕症等。
3.维生素B3的摄入
烟酸是少数相对稳定的维生素,即使经烹调及储存亦不会大量流失。烟酸及烟酰胺广泛存在于食物中。植物性食物中存在的主要是烟酸,动物性食物中以烟酰胺为主。烟酸和烟酰胺在肝、肾、瘦畜肉、鱼以及坚果类中含量丰富;乳、蛋中的含量虽然不高,但色氨酸较多,可转化为烟酸。谷物中的烟酸80%~90%存在于种皮中,故加工影响较大。
一般膳食中并不缺乏烟酸,只有以玉米为主食的地区易发生烟酸缺乏,主要因玉米中的烟酸为结合型,不能被吸收利用,且玉米中色氨酸少,不能满足人体合成烟酸的需要。某些胃肠道疾患和长期发热等使烟酸的吸收不良或消耗增多,均可诱发烟酸缺乏。服用大量异烟肼可干扰吡哆醇作用,影响色氨酸转变为烟酸,也可引起烟酸缺乏。
烟酸缺乏时,易患糙皮病,精神错乱、定向障碍、癫痫发作、紧张性精神分裂症、幻觉、意识模糊、谵妄,周围神经炎的症状如四肢麻木、烧灼感、腓肠肌压痛及反射异常,有时有亚急性脊髓后侧柱联合变性症状。
成人每日摄入烟酸13~20 mg 为宜。
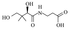
(四)维生素B5
维生素B5(结构如下)也称泛酸,是α,γ-二羟基-β,β′-二甲基丁酰-β-丙氨酸,有旋光性,仅D 型([α]=+37.5°)有生物活性,是丙氨酸借肽键与α,γ-二羧-β,β-二甲基丁酸缩合而成,是辅酶a(CoA)及酰基载体蛋白(acyl carrier protein,ACP)的组成部分。

纯游离泛酸是一种淡黄色黏稠的油状物,具酸性,易溶于水和乙醇,不溶于苯和氯仿,在酸、碱、光及热等条件下都不稳定。消旋泛酸具有吸湿性和静电吸附性。
1.维生素B5的吸收机制
泛酸的吸收依靠Na+依赖的多维生素转运体主动转运进入细胞。该转运体为泛酸硫辛酸、生物素所共享,由膜内负电位活化。每转运一个泛酸需要两个Na 协同。泛酸在肠内被吸收进入人体后,经磷酸化并与巯基乙胺结合生成4-磷酸泛酰巯基乙胺。4-磷酸泛酰巯基乙胺是辅酶A(CoA)及酰基载体蛋白(ACP)的组成部分,所以CoA 及ACP 为泛酸在体内的活性型。
2.维生素B5的生理功能
泛酸的活性形式辅酶A(coenzyme A,CoA)是生物体内酰基的载体,参与丙酮酸、α-酮戊二酸和脂肪酸的氧化作用,在糖、脂类及蛋白质的代谢中起转移酚羟基的作用。在糖代谢中丙酮酸转变为乙酰辅酶a,合成脂肪酸,或与草酰乙酸形成柠檬酸进入三羧酸循环。泛酸是二碳单位的载体,也是体内乙酰化酶的辅酶。12 种氨基酸(丙、甘、丝、苏、半胱、苯丙、亮、酪、赖、色、苏及异亮氨酸)的碳链分解代谢都形成乙酰辅酶a,参加体内能量的形成。
泛酸是大脑神经必需的营养物质。泛酸为脂肪酸合成类固醇(steroids)所需,有助于体内类固醇的分泌,可以保持皮肤和头发的健康。
泛酸促进肾上腺激素使蛋白质转化成脂肪及糖,促进肾上腺分泌足够的可的松,对维持肾上腺正常机能非常重要;泛酸预防关节炎、爱迪森氏病(Addison’s disease)、红斑狼疮(Lupus erythematosus)等泛酸缺乏所引起的疾病。
泛酸能增加抗体合成,抵抗传染病,并有助于伤口的愈合,是人体利用对氨基苯甲酸和胆碱的必需物质;
另外,泛酸以CoA的形式清除自由基,保护细胞质膜不受损害,CoA 也可以通过促进磷脂合成帮助细胞修复自由基的损伤,具有抗脂质过氧化作用。
3.维生素B5的日需要量
健康人的血糖因转化为能量而降低时,身体中所储存的淀粉或肝糖立即转化为糖,补充血糖的浓度。如果所储存的肝糖已经消耗完毕,肾上腺激素会立刻使身体中的蛋白质转化成脂肪及糖,这些糖一部分补充血糖至正常浓度,而一部分转变为肝糖储存起来。人体缺乏泛酸时,无法合成能将蛋白转化为糖(及脂肪)的肾上腺激素,血糖持续偏低,将导致紧张、哮喘、胃溃疡、急躁、倦怠、眩晕、头痛甚至晕倒等症状。过氧化物酶体脂肪酸氧化受到抑制,并可能导致脑部伤害,心跳加速、抽筋、沮丧不安、消沉、怨恨、暴躁易怒、挑衅、双手颤抖,血液中的α-球蛋白减少,抗体减少,无法入睡,双脚有烧灼疼痛的感觉,血压偏低,胃酸、消化酶分泌减少,肠道蠕动减弱,消化不良、便秘,过敏。
泛酸缺乏导致肾上腺肿大或出血,无法分泌可的松及其他激素。很多借助可的松治疗的疾病,如关节炎、爱迪森氏病(Addison’s disease)、红斑狼疮(Lupus erythematosus)等,都是由缺乏泛酸所引起的。体重过重又缺泛酸的人,容易罹患关节炎及痛风。
人类对泛酸的需要量,随着每天所承受的压力大小而异。健康的成人每天摄取30~50 mg适当。肉类、未精制的谷类、麦芽与麸皮、动物肾脏与心脏、绿叶蔬菜、啤酒酵母、坚果类、未精制的糖蜜泛酸含量丰富。
(五)维生素B6(吡哆醇类)
维生素B6(Vitamin B6)(结构如下)又称吡哆素,其包括吡哆醇、吡哆醛及吡哆胺,在体内以磷酸酯的形式存在,是一种水溶性维生素,遇光或碱易破坏,不耐高温。维生素B6 为无色晶体,易溶于水及乙醇,在酸液中稳定,在碱液中易破坏,吡哆醇耐热,吡哆醛和吡哆胺不耐高温。

1.维生素B6的功能
(1)参与蛋白质合成与分解代谢。作为转氨酶的辅酶,维生素B6 在蛋白质代谢中起重要作用,主要以磷酸吡多醛(PLP)形式参与近百种酶反应,多数与氨基酸代谢有关,包括转氨基、脱羧、侧链裂解、脱水及转硫化作用。如参与同型半胱氨酸向蛋氨酸的转化,轻度高同型半胱氨酸血症被认为是血管疾病的一种可能危险因素,维生素B6 可降低血浆同型半胱氨酸含量。
(2)参与糖异生、UFA 代谢,与血红素的代谢,色氨酸合成烟酸、糖原、神经鞘磷脂和类固醇的代谢有关。
(3)参与某些神经介质(5-羟色胺、牛磺酸、多巴胺、去甲肾上腺素和γ-氨基丁酸)合成,能治疗神经衰弱、眩晕,防治妊娠呕吐。
(4)维生素B6 与一碳单位、维生素B12 和叶酸盐的代谢有关,如果它们代谢障碍可造成巨幼红细胞贫血。维生素B6 与维生素B2的关系十分密切,维生素B6 缺乏常伴有维生素B2 症状。
(5)维生素B6 参与RNA 和DNA 合成。
(6)维生素B6 对治疗糖尿病有效,缺乏维生素B6 会阻碍胰岛素因子的产生。
2.吸收与代谢
食物中维生素B6 为PLP、PMP、PN,在小肠腔内必须由非特异性磷解酶(nospecific phosphoh Ydrolase)分解PLP、PMP 为PL、PM。吸收形式为PL、PM 及PN。给予饥饿的人以PN、PL、PM,0.5~3 h 达到高峰,剂量小(0.5~4 mg)时,血浆维生素B6 水平在3~5 h后又恢复到近似饥饿时水平。服用PL 后血浆维生素B6 水平及尿中PA 升高较快,但PM 吸收代谢都较PN、PL 慢一些。而摄入PLP 剂量大(如10 mg)时,血浆维生素B6 及PLP 在24 h内继续上升,维持在高水平。
人体摄入PN 后,血浆PL 可以增加12 倍,血浆中PLP 虽占血浆中维生素B6的60%,但与蛋白相结合,不易为其他细胞所利用。血浆中PL 与白蛋白结合不牢固,为运输的形式,能被组织摄取,并氧化为PA。PN 运输至小肠黏膜,可在肠黏膜中合成PNP,血流中PN 可扩散到肌肉中,然后磷酸化,PN 及PL 通过扩散进入红细胞中,并为激酶磷酸化。人的红细胞可将PNP 氧化为PLP。PN 在超过红细胞PL 激酶饱合浓度时,可在3~5 min 进入红细胞中。PL在浓度超过磷酸激酶的浓度时,PL 与血红蛋白α-链中末端缬氨酸相结合,所以PL 在红细胞中积累,它在红细胞中的浓度可为血浆中的4~5 倍。红细胞中的PL 可能也是一种运输方式。PN 为肝细胞纳入后,相继为PL 激酶及PNP 氧化酶作用而生成PLP,然后再经磷解作用而转变为PL,进入循环系统中,运至有磷酸激酶的组织形成PLP。维生素B6 缺乏的动物(大鼠),PL 激酶有所下降,饲养5 周的大鼠肝中,PL 肝激酶下降50%,而脑中仅下降14%。这也说明维生素B6 对神经系统的重要性。
维生素B6 在血流中可扩散到肌肉中而磷酸化,若PN 剂量增加,肌肉中PN的含量增加,而PNP的含量减少。大鼠60%维生素B6 在肌肉中,其中75%~95%与糖原磷酸化酶(Glycogenphosphorylase)相联系。此酶占肌肉可溶性蛋白的5%,可能为维生素B6的储存场所。通过肌肉蛋白的转换,将维生素B6 分解出来以满足最低需要量。
维生素B6的主要代谢产物PA,可代表维生素B6 摄入量的20%~40%,尿中PA 只可为摄入量的指标,而不能代表体内的储存。尿中除PA 外,尚有小量的PN、PL 等。给以生理剂量时,在3 h 内大部分以PA 排出。PN 在肾小管中积累,当PN 浓度较大时,可由肾排出。PL不易被肾排除,也不易被肾纳入,纳入后以磷酸化形式积累。人口服大剂量(100 mg)PL、PM、PN 后,在36 h 内大部分原物从尿中排出。
3.维生素B6的摄入
人体缺乏维生素B6 容易引起过敏性反应,如属于过敏性湿疹的荨麻疹。成人每天维生素B6 需要量为2 mg,妇女怀孕期为2.2 mg。维生素B6 在酵母菌、肝脏、肉类、蛋类、鱼、豆类、花生、全谷物、乳制品、绿叶蔬菜含量较高。维生素B6 在食物中广泛存在,肠道细菌又可合成,人类未发现典型的缺乏症。
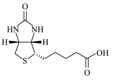
(六)维生素B7(生物素)
维生素B7(生物素)(结构如下)又名维生素H,为无色长针状结晶,具有尿素与噻吩相结合的骈环,并带有戊酸侧链;极微溶于水(22 mg/100 mL 水,25 °C)和乙醇(80 mg/100 mL,25°C),遇强碱或氧化剂则分解。

1.维生素B7的吸收与分布
生物素迅速从胃和肠道吸收,血液中生物素的80%以游离形式存在,分布于全身各组织,在肝、肾中含量较多,大部分生物素以原形由尿液中排出,仅小部分代谢为生物素硫氧化物和双降生物素。
2.维生素B7的生理功能
维生素B7(生物素)的主要功能是在脱羧——羧化反应和脱氨反应中起辅酶作用,参与丙酮酸羧化而转变成为草酰乙酸,乙酰辅酶A 羰化成为丙二酰辅酶A 等糖及脂肪代谢中的主要生化反应,帮助脂肪、肝糖和氨基酸在人体内进行正常的合成与代谢;与碳水化合物和蛋白质互变,以及碳水化合物和蛋白质向脂肪转化等有关,还参与维生素B12、叶酸、泛酸的代谢;促进尿素合成与排泄。
维生素B7 是维持机体上皮组织健全所必需的物质。缺乏时,可引起黏膜与表皮的角化、增生和干燥;产生眼干燥症,严重时角膜角化增厚、发炎,甚至穿孔,导致失明;消化道、呼吸道和泌尿道上皮细胞组织不健全,易于感染。
维生素B7 能增强机体的免疫力,稳定正常组织的溶酶体膜,维持机体的体液免疫、细胞免疫,并影响一系列细胞因子的分泌。大剂量可促进胸腺增生,使免疫力增强。
维生素B7 促进神经组织、骨髓、男性性腺、皮肤及毛发的正常生长,减轻湿疹、皮炎症状;预防白发及脱发,有助于治疗秃顶。生物素缺乏时,生殖功能衰退,骨骼生长不良,胚胎和幼儿生长发育受阻,皮脂腺及汗腺角化,皮肤干燥,毛囊丘疹和毛发脱落。
维生素B7 构成视觉细胞感光物质。生物素在体内氧化生成顺视黄醛和反视黄醛。人视网膜内有两种感光细胞,其中杆细胞对弱光敏感,与暗视觉有关,因为杆细胞内含有感光物质——视紫红质,它是由视蛋白和顺视黄醛构成。当生物素缺乏时,顺视黄醛得不到足够的补充,杆细胞不能合成足够的视紫红质,从而出现夜盲症。
维生素B7 缓和肌肉疼痛;对忧郁、失眠有一定助益;帮助糖尿病患者控制血糖水平,并防止该疾病造成的神经损伤。
3.维生素B7的摄入
生物素缺乏使人头皮屑增多,容易掉发,少年白发;出现肤色暗沉,面色发青,皮肤炎,湿疹,萎缩性舌炎,感觉过敏,厌食和轻度贫血、忧郁、失眠、疲倦、慵懒无力、肌肉疼痛,打瞌睡等神经症状。
生物素的毒性很低,大剂量的生物素治疗脂溢性皮炎,未发现蛋白代谢异常或遗传错误及其他代谢异常。
人体每天需要量100~300 μg。生鸡蛋清中有一种抗生物素的蛋白质能和生物素结合,结合后的生物素不能由消化道吸收。尚未见人类生物素缺乏病例,可能是由于除了食物来源以外,肠道细菌也能合成生物素。
维生素B7 在牛奶、牛肝、蛋黄、动物肾脏,草莓、柚子、葡萄等水果,瘦肉、糙米、啤酒、小麦中含量丰富。
(七)维生素B9(叶酸)
叶酸(结构如下)由蝶啶、对氨基苯甲酸和L-谷氨酸组成,也叫蝶酰谷氨酸,它是B 族维生素的一种。1941年,因为从菠菜中发现了这种生物因子,所以被命名为叶酸。叶酸是黄色结晶,微溶于水,在酸性溶液中不稳定,易被光破坏,在室温下储存易损失。

四氢叶酸(THFA)
1.叶酸的吸收与排泄
叶酸在肠道吸收后,经门静脉进入肝脏,在肝内二氢叶酸还原酶的作用下,转变为具有活性的四氢叶酸。经口服给药,在胃肠道(主要是十二指肠上部)几乎完全被吸收,5~20 min后可出现在血中,1 h 后可达最高血药浓度。大部分主要储存在肝内,体内的叶酸主要被分解为蝶呤和对氨基苯甲酰谷氨酸。血浆半衰期约为40 min。由胆汁排至肠道中的叶酸可再被吸收,形成肝肠循环(代谢过程如下)。
维生素C 与叶酸同服,抑制叶酸在胃肠中吸收,大量的维生素C 会加速叶酸的排出。

2.叶酸的生理功能
叶酸作为一碳单位转移酶系的辅酶,在体内以四氢叶酸的形式起作用,四氢叶酸参与嘌呤核苷酸和嘧啶核苷酸的合成和转化,在甘氨酸与丝氨酸、组氨酸与谷氨酸、苯丙氨酸与酪氨酸,同型半胱氨酸与蛋氨酸之间的相互转化过程中充当一碳单位的载体,参与血红蛋白卟啉基的形成及甲基化合物如肾上腺素、胆碱、肌酸的合成,对蛋白质、核酸的合成及各种氨基酸的代谢有重要作用,与维生素B12 共同促进红细胞的成熟,红细胞和白细胞的快速增生都需要叶酸参与。
3.叶酸的摄取
叶酸缺乏时,脱氧胸苷酸,嘌呤核苷酸的形成及氨基酸的互变受阻,细胞内DNA 合成减少,细胞的分裂成熟发生障碍,血中高半胱氨酸水平提高,易引起动脉硬化,巨幼红细胞性贫血及白细胞减少,诱发结肠癌和乳腺癌。孕妇缺乏叶酸有可能导致胎儿出生时出现低体重、唇腭裂、心脏缺陷等。
叶酸是水溶性维生素,一般超出成人最低需要量20 倍也不会引起中毒。凡超出血清与组织中和多肽结合的量均从尿中排出。
服用大剂量叶酸可能产生的毒性作用有:干扰抗惊厥药物的作用,诱发病人惊厥发作。口服叶酸350 mg 可能影响锌的吸收,而导致锌缺乏,使胎儿发育迟缓,低出生体重儿增加。掩盖维生素B12 缺乏的早期表现,而导致神经系统受损害。
天然叶酸广泛存在于动植物类食品中,凡是含维生素C的食物如新鲜蔬菜,水果都含叶酸,尤以酵母、肝及绿叶蔬菜中含量比较多。通常不需另外补充叶酸。成人的建议摄入量是每天400 μg,孕期600 μg。可耐受最高摄入量(UL)为每日1000 μg。
由于天然的叶酸极不稳定,易受阳光、加热的影响而发生氧化,叶酸生物利用度较低,在45%左右。合成的叶酸在数月或数年内可保持稳定,容易吸收且人体利用度高,比天然制品高出一倍左右。
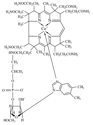
(八)维生素B12(钴胺素)
维生素B12(结构如下)又叫钴胺素,是一种含有3 价钴的多环系化合物,4 个还原的吡咯环连在一起变成为1 个咕啉大环(与卟啉相似),是维生素B12 分子的核心。所以称为类咕啉。维生素B12 为浅红色的针状结晶,易溶于水和乙醇,在pH 值4.5~5.0 弱酸条件下最稳定,强酸(pH<2)或碱性溶液中分解,遇热可有一定程度破坏,遇强光或紫外线易被破坏。普通烹调过程损失量约30%。维生素B12 因含钴而呈红色,是唯一含矿物质的维生素。高等动植物不能制造维生素B12,自然界的维生素B12 都是微生物合成的,是唯一的一种需要肠道分泌物(内源因子)帮助才能被吸收的维生素,在肠道内停留时间长,大约需要3h(大多数水溶性维生素只需要几秒钟)才能被吸收。

1.维生素B12的吸收与排泄
食物中的维生素B12 与蛋白质结合,进入人体消化道内,在胃酸、胃蛋白酶及胰蛋白酶的作用下,维生素B12 被释放,并与胃黏膜细胞分泌的一种糖蛋白内因子(IF)结合。维生素B12-IF 复合物在回肠被吸收。维生素B12的储存量很少,2~3 mg,在肝脏中。主要从尿排出,部分从胆汁排出。
维生素B12 与氯霉素合用,可抵消维生素B12 具有的造血功能。维生素C 可破坏维生素B12,维生素C 与维生素B12 同时给药或长期大量摄入维生素C 可使维生素B12 血浓度降低;氨基糖苷类抗生素——对氨基水杨酸类、苯巴比妥、苯妥英钠、扑米酮等抗惊厥药及秋水仙碱等可减少维生素B12 从肠道的吸收;消胆胺可结合维生素B12 减少其吸收。
2.维生素B12的生理功能
维生素B12 是几种变位酶的辅酶,如甲基天冬氨酸变位酶,催化Glu 转变为甲基Asp;甲基丙二酰CoA 变位酶,将甲基丙二酰辅酶A 转化成琥珀酰辅酶A,参与三羧酸循环,其中琥珀酰辅酶A 与血红素的合成有关,使肌体造血机能处于正常状态,促进红细胞的发育和成熟,预防恶性贫血。
维生素B12 参与甲基及其他一碳单位的转移反应,如参与蛋氨酸、胸腺嘧啶等的合成,使甲基四氢叶酸转变为四氢叶酸而将甲基转移给甲基受体(如同型半胱氨酸),因此维生素B12可促进碳水化合物、脂肪、核酸和蛋白质的代谢。
维生素B12 保护叶酸在细胞内的转移和储存,增加叶酸的利用率,与叶酸一起合成甲硫氨酸(由高半胱氨酸合成)和胆碱,产生嘌呤和嘧啶的过程中合成氰钴胺甲基先驱物质如甲基钴胺。维生素B12 缺乏时,从甲基四氢叶酸上转移甲基基团减少,使叶酸变成不能利用的形式,导致叶酸缺乏症。
维生素B12 是神经系统功能健全不可缺少的维生素,参与神经组织中一种脂蛋白的形成。维护神经髓鞘的代谢与功能。缺乏维生素B12 时,可导致周围神经炎,神经障碍、脊髓变性,引起严重的精神症状。小孩缺乏维生素B12的早期表现是情绪异常、表情呆滞、反应迟钝,最后导致贫血。
3.维生素B12的摄取
自然界中维生素B12 主要是通过草食动物的瘤胃和结肠中的细菌合成的,因此,膳食来源主要为动物性食品,其中动物内脏、肉类、蛋类是维生素B12的丰富来源。豆制品经发酵会产生一部分维生素B12。人体肠道细菌也可以合成一部分。
维生素B12 和叶酸缺乏,可导致胸腺嘧啶核苷酸减少,DNA 合成速度减慢,而细胞内尿嘧啶脱氧核苷酸(dUMP)和脱氧三磷酸尿苷(dUTP)增多。胸腺嘧啶脱氧核苷三磷酸(dTTP)减少,使尿嘧啶掺和入DNA,使DNA 呈片段状,DNA 复制减慢,核分裂时间延长(S 期和G1 期延长),故细胞核比正常大,核染色质呈疏松点网状,缺乏浓集现象,而胞质内RNA 及蛋白质合成并无明显障碍。随着核分裂延迟和合成量增多,形成胞体巨大,核浆发育不同步,核染色质疏松,所谓“老浆幼核”的巨型血细胞,以幼红细胞系列最显著,称巨幼红细胞系列,也见于粒细胞、巨核细胞系列,甚至某些增殖性体细胞。该巨幼红细胞易在骨髓内破坏,出现无效性红细胞生成,最终导致红细胞数量不足,表现贫血症状。
注射过量的维生素B12 可出现哮喘、荨麻疹、湿疹、面部浮肿、寒颤等过敏反应,也可能发生神经兴奋、心前区痛和心悸,还可导致叶酸的缺乏。
维生素B12 日推荐量:成人3.0 μg,孕妇4.0 μg,乳母4.0 μg。
(九)胆 碱
胆碱(结构如下)为三甲基胺的氢氧化物,其分子结构式为HOCH2CH2N+(CH3)3。

胆碱是季胺碱,是一种强有机碱,为无色结晶,易溶于水和乙醇,不溶于氯仿、乙醚等非极性溶剂,有很强的吸湿性,水溶液呈无色味苦的白色浆液,易与酸反应生成更稳定的结晶盐(如氯化胆碱),在强碱条件下不稳定,但对热相当稳定。胆碱能穿过“脑血管屏障” 进入脑细胞。
1.胆碱的生理功能
L-α-甘油磷脂酰胆碱(GPC)能改善脑功能,提高注意力、记忆力,改善脑波曲线,减慢脑功能衰退。
胆碱是构成生物膜的重要成分,细胞膜磷脂酰肌醇衍生物特别是磷脂酰胆碱为能够放大外部信号或通过产生抑制性第二信使而中止信号过程的生物活性分子。在信号传递过程中,膜受体激活导致受体结构的改变进而激活三磷酸鸟苷结合蛋白(GTP-binding protein,G-蛋白)。G-蛋白的激活进一步使膜内磷脂酶C的激活。磷脂酶C 可水解磷脂的甘油磷酸键,生成二酯酰甘油和一个亲水的可溶性(极性)头(基团)。激活的磷脂酶C 使蛋白激活酶(PKC)活化。正常情况下,蛋白激活酶处于折叠状态使得一个内源性的“假性底物”区域被结合在酶的催化部位,从而抑制了其活性。二酯酰甘油使蛋白激活酶构象发生改变,导致其从铰链区发生扭曲,释放“假性底物”,开放催化部位。
细胞凋亡的一特征性变化即具有转录活性的核DNA 被水解成200 bp(碱基对)的染色质碎片,从而在凝胶电泳中形成梯度变化。DNA 链的断裂是胆碱缺乏的早期表现,将鼠肝细胞置于缺乏胆碱的培养基中可使之凋亡。
胆碱对脂肪有亲和力,可促进脂肪以磷脂形式由肝脏通过血液输送出去,或改善脂肪酸在肝中的利用,防止脂肪在肝脏里积聚。
胆碱是活性甲基的一个主要来源,为机体代谢提供甲基。
胆碱和磷脂具有良好的乳化特性,能阻止胆固醇在血管内壁的沉积并清除部分沉积物,改善脂肪的吸收与利用,抗动脉粥样硬化、降低血胆固醇、总酯,预防脂肪肝及心血管疾病。
胆碱在人体内与各种基团结合,形成各种具有重要生理功能的胆碱衍生物,如乙酰胆碱。乙酰胆碱是一种神经递质,与神经兴奋和传导有关。
2.胆碱的摄取
动物已形成若干机制以保证生长发育中获得足够的胆碱:胎盘可调节向胎儿的胆碱运输,羊水中胆碱浓度为母血中10 倍,新生儿大脑从血液中汲取胆碱的能力极强,此外,人类乳汁可为新生儿提供大量胆碱,保证胎儿和新生儿获得足够的胆碱。
胆碱缺乏导致动物(除反刍动物外)肝脏功能异常,出现大量脂质(主要为甘油三酯)积累。有报道胆碱缺乏与生长迟缓、骨质异常,造血障碍和高血压、不育症有关。
成人一天的饮食中应含有500~900 mg 胆碱。富含胆碱的食物:蛋类、动物的脑、动物心脏与肝脏、绿叶蔬菜、啤酒酵母、麦芽、大豆卵磷脂。
(十)肌 醇
肌醇(结构如右所示)即环己六醇,广泛分布在动植物体内,为白色晶体,溶于水和乙酸,耐酸、碱及热,熔点253°C,密度1.752 g/cm3(15 °C),无旋光性。在动物细胞中,主要以肌醇磷脂的形式出现,在谷物中则常与磷酸结合形成六磷酸酯即植酸,而植酸能与钙、铁、锌结合成不溶性化合物,影响人体对这些营养的吸收。
1.肌醇的生理功能

肌醇在供给脑细胞营养上扮演重要的角色,有镇静作用,能促进毛发的生长,防止脱发,预防湿疹;肌醇有代谢脂肪和胆固醇的作用,可降低胆固醇和脂肪含量,帮助体内脂肪重新分布,预防动脉硬化。帮助清除肝脏的脂肪,可以用于脂肪肝、高脂血症的辅助治疗。
2.肌醇的摄取
人体缺乏肌醇会得湿疹,头发易变白。一般每日的摄取量是250~500 mg。
富含肌醇的食物:动物肝脏、啤酒酵母、白花豆(lima bean)、牛脑和牛心、美国甜瓜、葡萄柚、葡萄干、麦芽、未精制的糖蜜、花生、甘蓝菜、全麦谷物。
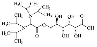
(十一)维生素B15(潘氨酸)
1.维生素B15的生理功能
维生素B15(结构如下)和维生素E 一样,都是抗氧化剂,可延长细胞的寿命,缓解酒瘾,治疗慢性酒精中毒,防止宿醉;快速消除疲劳,使血液胆固醇降低,缓解冠状动脉狭窄和气喘症状,防止肝硬化,抵抗污染物质的侵害,刺激免疫反应,帮助合成蛋白质。主要用于抗脂肪肝,提高组织的有氧代谢率,也能用来治疗冠心病。

2.维生素B15的摄取
维生素B15 缺乏与腺体和神经的障碍、心脏病、肝脏组织抗氧化功能的衰退有关。有些人在开始服用维生素B15 时会有恶心的感觉,但是两三天以后就会消失。在一天之中食量最多的一餐后服用维生素B15,会使症状减轻。
成人每天维生素B15 摄取量是50~150 mg。富含维生素B15的食物有啤酒酵母、糙米、全麦、南瓜子、芝麻。
(十二)维生素C
维生素C 是一种含有6 个碳原子的酸性多羟基化合物,分子式为C6H8O6,是无色单斜片晶或针晶,熔点190~192 °C,易溶于水,水溶液呈酸性。它能够治疗坏血病,所以称作抗坏血酸。天然存在的抗坏血酸有L 型和D 型2 种,后者无生物活性。维生素C 在酸性环境中稳定,空气中氧、热、光、碱性物质,特别是氧化酶及痕量铜、铁等金属离子促进其氧化破坏。氧化酶一般在蔬菜中含量较多,故蔬菜储存过程中都有不同程度流失。但在某些果实中含有的生物类黄酮,能保护其稳定性。

1.维生素C的吸收与代谢
维生素C 通常在小肠上方(十二指肠和空肠上部)被吸收,而仅有少量被胃吸收,同时口中的黏膜也吸收少许。
从小肠上方被吸收的维生素C,经由门静脉、肝静脉输送至血液中,并转移至身体各部分的组织。当人摄入维生素C 之后,脑下垂体、肾脏的维生素C 浓度最高,其次是眼球、脑、肝脏、脾脏等部位。
小肠维生素C的吸收率根据维生素C的摄取量不同而有差异。当摄取量在30~60 mg 时,吸收率可达100%;摄取量为90 mg 时,吸收率降为80%左右。维生素C 吸收率也受发烧、压力、长期注射抗生素或皮质激素等影响而降低,也因饭后和空腹而有所不同。寄生虫、服用矿物油、过量的膳食纤维等会妨碍维生素的吸收。
维生素C 在体内的代谢过程仍无定论,在碱性溶液中,脱氢坏血酸分子中的内酯环容易被水解成二酮古洛酸,在动物体内不能变成内酯型结构,在人体内最后生成草酸或与硫酸结合成的硫酸酯,从尿中排出。因此,二酮古洛酸不再具有生理活性。
草酸是维生素C的一个代谢产物,它的排出量因人而异,平均一天有16~64 mg 草酸经由肾脏排泄。
肾脏具有调节维生素C 排泄的功能。当组织中维生素C 达饱和量时,排泄量会增多;当组织含量不足时,排泄量则减少。当血浆浓度大于14 μg/mL 时,尿内排出量增多,可经血液透析清除。
加热、光照、长时间储存都会造成维生素C的流失和分解。
2.维生素C的功能
羟化反应是体内许多重要物质合成或分解的必要步骤,维生素C 通过催化羟化反应,促进胶原、神经递质(5-羟色胺及去甲肾上腺素)合成,促进类固醇代谢。维生素C 能提高氧化酶的活性,促进药物或毒物的解毒(羟化)过程,缓解铅、汞、镉、砷等重金属对机体的毒害。
高浓度的维生素C 有助于蛋白质中的胱氨酸还原为半胱氨酸,进而促进免疫球蛋白合成,增强人体对疾病的抵抗力。
维生素C 能使难以吸收的三价铁还原为易于吸收的二价铁,从而促进了铁的吸收。此外,维生素C 还能维持巯基酶的活性,使亚铁配合酶等的巯基处于活性状态。维生素C 能促进叶酸还原为四氢叶酸,故对巨幼红细胞性贫血也有一定疗效。故维生素C 是治疗贫血的重要辅助药物。
食物含有的硝酸盐在唾液中的酶的作用下变成亚硝酸盐,在胃酸作用下,合成致癌物亚硝酸铵。维生素C 具有良好的还原性,能与亚硝酸盐反应,阻断亚硝胺的形成,预防癌症。
维生素C 是高效抗氧化剂,可通过逐级供给电子而转变为脱氢抗坏血酸,清除体内超氧负离子(O2-)、羟自由基(OH·)、有机自由基(R·)和有机过氧基(ROO·)等自由基;防止黑斑、雀斑,皱纹形成,减轻抗坏血酸过氧化物酶(ascorbate peroxidase)基底的氧化应力(oxidative stress),使生育酚自由基重新还原成生育酚,生成的抗坏血酸自由基在一定条件下又可在NADH2的体系酶作用下还原为抗坏血酸。
维生素C 在酪氨酸-酪氨酸酶反应中阻止黑色素合成,从而达到美白,淡斑的功效。
维生素C 连接骨骼、牙齿、结缔组织,使骨头、牙齿保持健康,促进毛细血管壁的各个细胞间黏合,使血管坚韧而不易破裂,还能促进伤口愈合。
3.维生素C的摄取
维生素C 缺乏,羟脯氨酸和赖氨酸的羟基化过程不能顺利进行,胶原蛋白合成受阻,引起坏血病。早期表现为疲劳、倦怠,牙龈肿胀、出血、伤口愈合缓慢等,严重时可出现内脏出血而危及生命。
皮肤淤点为维生素C 缺乏突出的表现,病人皮肤在受轻微挤压时可出现散在出血点,皮肤受碰撞或受压后容易出现紫癜和瘀斑。随着病情进展,病人可有毛囊周围角化和出血,毛发根部卷曲、变脆。齿龈常肿胀出血,容易引起继发感染,牙齿可因齿槽坏死而松动、脱落。亦可有鼻出血、眼眶骨膜下出血引起眼球突出。偶见消化道出血、血尿、关节腔内出血,甚至颅内出血。病人可因此突然发生抽搐、休克,以至死亡。
维生素C 不足可影响铁的吸收,患者晚期常伴有贫血,面色苍白。贫血常为中度,一般为血红蛋白正常的细胞性贫血,在一系列病例中也有1/5 病人为巨幼红细胞性贫血。
维生素C 在体内分解代谢最终的重要产物是草酸,长期服用可出现草酸尿以致形成泌尿道结石。每日服1~4 g,可引起腹泻、皮疹、胃酸增多、胃液反流,有时尚可见泌尿系结石、尿内草酸盐与尿酸盐排出增多、深静脉血栓形成、血管内溶血或凝血等,有时可导致白细胞吞噬能力降低。每日用量超过5 g 时,可导致溶血,重者可致命。孕妇服用大剂量时,可能产生婴儿坏血病。
成人及孕早期妇女维生素C的推荐摄入量为100 mg/d,中、晚期孕妇及乳母维生素C的推荐摄入量为130 mg/d。维生素C的可耐受最高摄入量(UL)为1000 mg/d。
食物中的维生素C 主要存在于新鲜的蔬菜、水果中,鲜枣、沙棘、猕猴桃、柚子维生素C 含量很丰富。蔬菜中绿叶蔬菜、青椒、番茄、大白菜等含量较高,在动物的内脏中也含有少量的维生素C,但蔬菜煮的时间太久,维生素C 会遭破坏。
维生素C 是最不稳定的一种维生素,化学性质较活泼,遇热、碱和重金属离子容易分解。由于它容易被氧化,在食物储藏或烹调过程,甚至切碎新鲜蔬菜时都能被破坏。微量的铜、铁离子可加快其破坏的速度。所以新鲜的蔬菜、水果或生拌菜才是维生素C 最好的来源,炒菜不可用铜、铁锅加热过久。