三、脂溶性维生素
(一)维生素A(视黄醇类)
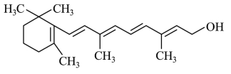
维生素A(结构如下)并不是单一的化合物,而是一系列视黄醇的衍生物,别称抗干眼病维生素。我国古代《巢氏病源》提到“人有昼而睛明,至瞑则不见物”的病,并且提出了吃猪肝可治此症。其原因是维生素A 缺乏而致夜盲症,而肝脏中含有较多的维生素A,故吃猪肝可以治夜盲症。

1.维生素A的功能
(1)维持正常视觉功能,预防夜盲症。眼视网膜中的杆状细胞和锥状细胞都存在感光色素,即感弱光的视紫红质和感强光的视紫蓝质。视紫红质与视紫蓝质都是由视蛋白与视黄醛所构成的。视紫红质经光照射后,11-顺视黄醛异构成反视黄醛,并与视蛋白分离,若进入暗处,不能见物。
分离后的反式视黄醛进一步转变为反式视黄酯(或异构为顺式)并储存于色素上皮中,由视黄酯水解酶水解为反式视黄醇,经氧化和异构化,形成11-顺视黄醛,再与视蛋白重新结合为视紫红质,运送至视网膜,参与视网膜的光化学反应,恢复对弱光的敏感性,从而能在一定照度的暗处见物,此过程称暗适应(Dark Adaptation)。若维生素A 充足,则视紫红质的再生快而完全,故暗适应恢复时间短;若维生素A 不足,则视紫红质再生慢而不完全,故暗适应恢复时间延长,严重时可产生夜盲症(Night Blindness)。
(2)维生素A 可参与糖蛋白的合成,对于呼吸道、消化道、泌尿道及性腺等器官上皮细胞组织的正常形成及保持黏膜湿润和完整,防止病毒、细菌感染十分重要。当维生素A 不足或缺乏时,可导致糖蛋白合成中间体的异常,引起上皮基底层增生变厚,表层细胞变扁、不规则、干燥等。呼吸道、消化道、泌尿道、生殖系统内膜角质化,削弱了防止细菌侵袭的天然屏障(结构)而易于感染。
最新研究表明,免疫球蛋白是一种糖蛋白,维生素A 能促进该蛋白的合成,增加绵羊红细胞或蛋白质免疫小鼠的脾脏PFC 数目,增强非T 细胞依赖抗原所导致抗体的产生,还可增强人外周血淋巴细胞对PHA 反应和NK 细胞活性,提高巨噬细胞活性,刺激T 细胞增殖和IL 2 产生,增强免疫系统功能。
(3)维持骨骼、牙齿正常生长。维生素A 促进蛋白质的合成和骨细胞的分化。当其缺乏时,成骨细胞与破骨细胞间平衡被破坏,或由于成骨活动增强而使骨质过度增殖。
(4)维生素A 有助于细胞增殖,促进机体成长。动物缺乏维生素A 时,食欲降低及蛋白利用率下降,生长停滞,影响雄性动物精索上皮产生精母细胞,影响雌性阴道上皮周期变化,也影响胎盘上皮,使胚胎形成受阻,还引起催化黄体酮前体形成所需要的酶的活性降低,使肾上腺、生殖腺及胎盘中类固醇的产生减少,影响生殖功能。孕妇缺乏维生素A 时会直接影响胎儿发育,甚至死亡。
(5)抑制肿瘤生长。维生素A(视黄酸)类物质有防止化学致癌剂的作用,延缓或阻止癌前病变,特别是对于上皮组织肿瘤有辅助治疗的效果。
(6)抗衰老,去皱纹。维生素A 是一种抗氧化剂,保护细胞免受自由基的侵害,防止脂质过氧化,调节表皮及角质层新陈代谢,可以抗衰老,去皱纹。在化妆品中用作营养成分添加剂,能防止皮肤粗糙。氧化型LDL 会导致血管上皮细胞的损伤,从而加速脂质在损伤部位的沉积形成斑块,以至阻塞血管,引发阻塞性动脉粥样硬化等疾病。维生素A 阻止LDL 被氧化形成氧化型LDL,而能防治阻塞性动脉粥样硬化、冠心病、中风等多种老年性疾病。
(7)维生素A 调节甲状腺功能,有助于对肺气肿、甲状腺功能亢进症的治疗。
2.维生素A的吸收与代谢
维生素A 极易吸收,主要在肝脏中储存,几乎全部在体内被代谢,β-胡萝卜素是维生素A的前体,在动物肠黏膜内可转化为活性维生素A,主要经由尿、粪排泄,而乳汁中仅有少量排泄。
小肠中的胆汁,是维生素A 乳化所必需的,足量膳食脂肪可促进维生素A的吸收,抗氧化剂,如维生素E 和卵磷脂等有利于其吸收。服用矿物油及肠道寄生虫不利于维生素A的吸收。
维生素C 对维生素A 有破坏作用。尤其是大量服用维生素C 以后,会促进体内维生素A的排泄。
维生素A 与维生素B、维生素D、E、钙、磷和锌配合使用时,能充分发挥其功效(必须有锌才能把贮藏在肝脏里的维生素A 释放出来)。正在服用降胆固醇的药物如降胆敏(Questran、Cholestyramine)时,对维生素A的吸收就会减低。
3.维生素A的需求量
成人每天维生素A的需求量是0.8 mg。长期过量摄入维生素A,会导致骨质疏松、食欲不振、皮肤干燥、头发脱落、骨骼和关节疼痛,甚至引起流产。
维生素A 在蛋黄、奶油、排骨、动物的肝脏中含量丰富;在绿色蔬菜如:菠菜、胡萝卜、西红柿、南瓜、杏、红辣椒中含量较高。有色蔬菜中的胡萝卜素经吸收后可转化为维生素A。
(二)维生素D
维生素D 是一族A、B、C、D 环结构相同,但侧链不同的一类复合物的总称,A、B、C、D 环的结构来源于类固醇的环戊烷多氢菲环结构,目前已知的维生素D 至少有10 种,但最重要的是维生素D2(麦角骨化醇)和维生素D3(胆钙化醇)(结构如下)。
维生素D2 是紫外线照射植物中的麦角固醇产生,在自然界存在较少。维生素D3 则由大多数高级动物的表皮和真皮内含有的7-脱氢胆固醇,经紫外线(波长265~228 nm)照射转变而成。维生素D3 是生物活性最高的一种维生素D。维生素D 主要指维生素D3,如果人体接受阳光直射皮肤4~6 h,自身合成的维生素D3 就基本能满足人体需要。
维生素D3 是脂溶性的,不溶于水,只能溶解在脂肪或脂肪溶剂中,在中性及碱性溶液中能耐高温和氧化,但在酸性条件下则逐渐分解破坏。一般食物烹调过程中不会损失,但脂肪酸败时可以引起维生素D3的破坏。

1.维生素D的生理功能
(1)维生素D 提高肌体对钙、磷的吸收,促进生长和骨骼钙化,促进牙齿健全;维持血液中柠檬酸盐的正常水平;防止氨基酸通过肾脏损失。如体内缺乏维生素D,即使提供足够的钙质,大部分钙都不能吸收,造成人体钙、磷缺乏,影响牙齿、骨骼的正常生长,出现“软骨病”、佝偻病,抵抗力减弱。
(2)维生素D 缺乏是高血压的一个成因。美国堪萨斯大学医学中心一项对1500 名骨质疏松症患者的研究显示:高血压病与血液中低维生素D 水平有关;增加维生素D 摄入能降低高血压。
(3)维生素D 降低乳腺癌、肺癌、结肠癌等常见癌症的发生率,防治自身免疫性疾病和感染性疾病等,调节胎盘的发育和功能,预防流产和早产等妊娠并发症。宫内及婴幼儿获得足够的维生素D 可降低1 型糖尿病,哮喘与精神分裂症的发生率。
2.维生素D的需求量
维生素D的摄入量与日照时间有关,所以很难确切估计。紫外线照射带来的皮肤癌等问题上升,很多国家明确规定要限制接受日照的时间,各国人群接受日照的时间都在减少,因此全世界范围内维生素D 均呈现广泛缺乏的现象。
中国部分居民血液检测发现,约60%以上的居民维生素D 缺乏,其中,最易缺乏人群包括:孕妇、婴幼儿、老年人。这主要与这三类人群接受日照时间都相对较少有关。
2000年中国营养学会制定的中国居民膳食维生素D 推荐摄入量见表1-1。
表1-1 中国居民膳食维生素D 推荐摄入量(RNI)(单位:IU/d)

婴儿成长过程中需要钙较多,若不晒太阳,又不补充含有维生素D的食物,就容易发生佝偻病。成人一般不缺维生素D,只有休息少的人,才需要额外补充维生素D。维生素D 在动物的肝、奶及蛋黄中含量较多,尤以鱼肝油含量最丰富。晒太阳会促进体内合成维生素D。
通过膳食摄入的维生素D 一般不会引起中毒,而摄入大剂量的化学维生素D 和强化维生素D的奶制品有发生维生素D 过量和中毒的可能。长期每天过量摄入维生素D 可能造成恶心、头痛、肾结石、肌肉萎缩、关节炎、动脉硬化、高血压、轻微中毒、腹泻、口渴,体重减轻,多尿及夜尿多等症状。严重中毒时则会损伤肾脏,使软组织(如心、血管、支气管、胃、肾小管等)钙化。
(三)维生素E
维生素E 包括生育酚和三烯生育酚两类共8 种化合物。生育酚主要有四种衍生物,按甲基位置分为α、β、γ和δ四种,三烯生育酚也有α、β、γ、δ四种。α-生育酚(结构如下)是自然界中分布最广泛,含量最丰富,活性最高的维生素E 形式。
维生素E 对酸、热都很稳定,对碱不稳定,若在铁盐、铅盐或油脂酸败的条件下,会加速其氧化而被破坏。

维生素E(α-生育酚)
1.维生素E的生理功能
维生素E 能促进性激素分泌,使女子雌性激素浓度增高,促进卵巢功能,促进卵泡的成熟,使黄体增大,抑制孕酮氧化,保持血流通畅,促进胎儿发育,防止流产,提高生育能力。维生素E 对月经过多、外阴瘙痒、夜间性小腿痉挛、痔疮具有辅助治疗作用。服用维生素E的女性,其乳房组织变得更加丰满,且富有弹性。维生素E 促进男性产生有活力的精子,使男子精子活力增强,数量增加,是真正的“后代支持者”。维生素E 缺乏时男性睾丸萎缩不产生精子,孕育异常。女性胚胎与胎盘萎缩引起流产,阻碍脑垂体调节卵巢分泌雌激素等诱发更年期综合症。在临床上常用维生素E 治疗先兆流产和习惯性流产,另外对防治男性不育症也有一定帮助。
维生素E 是一种很重要的血管扩张剂和抗凝血剂,抑制血小板聚集,防止血液的凝固,预防冠心病、动脉粥样硬化,降低心肌梗死和脑梗塞的危险性。
维生素E 加速伤口的愈合,对烧伤、冻伤、毛细血管出血、更年期综合症、美容等方面有很好的疗效。
近年来,维生素E 又被广泛用于抗衰老方面,维生素E 具有还原性,有很强的抗氧化作用,抑制过氧化脂质生成,减慢组织细胞的衰老过程,可防止脂肪、维生素A、硒(Se)、两种含硫氨基酸和维生素C的氧化。酯化形式的维生素E 还能消除由紫外线、空气污染等因素造成的过多的氧自由基,起到延缓光老化、预防晒伤和日晒红斑生成,消除脂褐素在细胞中的沉积,祛除黄褐斑;抑制酪氨酸酶的活性,从而减少黑色素生成,减少皱纹的产生,令肌肤滋润有弹性,保持青春的容姿。维生素E 可抑制眼睛晶状体内的过氧化脂反应,使末梢血管扩张,改善血液循环。维生素E 缺乏时,人体代谢过程中产生的自由基增多,引起生物膜脂质过氧化,破坏细胞膜的结构和功能,形成脂褐素;而且使蛋白质变性,酶和激素失活,免疫力下降,代谢失常,促使机体衰老。
维生素E 水平与记忆力成正比。老年人记忆力差与其血液中维生素E 水平低有极大的关系。另外,饮食结构不当或者饥一顿饱一顿的人比饮食正常的人记忆力丧失更严重。
2.维生素E的吸收与代谢
维生素E 在胆酸、胰液和脂肪的存在时,在脂酶的作用下以混合微粒在小肠上部经非饱和的被动弥散方式被肠上皮细胞吸收。维生素E 被吸收后大多由乳糜微粒携带经淋巴系统到达肝脏。肝脏中的维生素E 通过乳糜微粒和极低密度脂蛋白(VLDL)的载体作用进入血浆。乳糜微粒在血循环的分解过程中,将吸收的维生素E 转移进入脂蛋白循环,其他的作为乳糜微粒的残骸。α-生育酚的主要氧化产物是α-生育醌,脱去醛基生成葡糖醛酸,葡糖醛酸可通过胆汁排泄,或进一步在肾脏中被降解产生α-生育酸从尿酸中排泄。
3.维生素E的摄取
成人每天食物中有50 mg 维生素E 即可满足需要,妊娠及哺乳期需要量略增。
维生素E 含量最为丰富的是小麦胚芽,富含维生素E的食物有:瘦肉、乳类、蛋类、压榨植物油、柑橘皮、猕猴桃、菠菜、卷心菜、花菜、羽衣甘蓝、莴苣、甘薯、山药、杏仁、榛子和胡桃。
维生素E 和其他脂溶性维生素不一样,在人体内储存的时间比较短,一天摄取量的60%~70%将随着排泄物排出体外。过多摄入维生素E 就会出现恶心,肌肉萎缩,头痛和乏力等症状。每天摄入的维生素E 超过300 mg 会导致高血压,伤口愈合延缓,甲状腺功能受到限制。长期服用大剂量维生素E 可引起血栓性静脉炎或肺栓塞,这是由于大剂量维生素E 可引起血中胆固醇和甘油三酯水平升高;血小板增加,活力增强,血小板聚集,血压升高,男女两性均可出现乳房肥大;头痛、头晕、眩晕、视力模糊、肌肉衰弱;皮肤豁裂、唇炎、口角炎、荨麻疹;糖尿病或心绞痛症状明显加重;激素代谢紊乱,免疫功能减退。
(四)维生素K
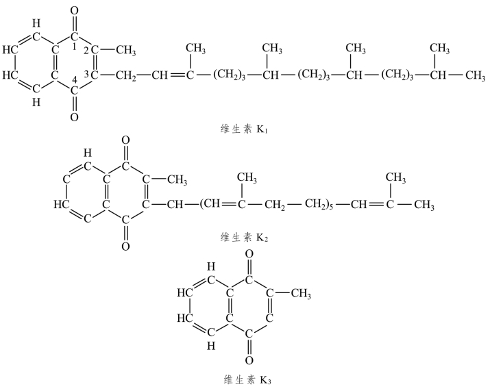
维生素K(结构如下)是一系列萘醌的衍生物的统称,由于它具有促进凝血的功能,故又称凝血维生素。主要的天然维生素K 有维生素K1、维生素K2,K1 是由植物合成的,K2 则由微生物合成。如人体肠道细菌可合成维生素K2。人工合成的有维生素K3 和维生素K4,为临床所常用。

1.维生素K的生理功能
(1)促进血液凝固。维生素K 是凝血因子γ-羧化酶的辅酶,是四种凝血蛋白(凝血酶原、转变加速因子、抗血友病因子和司徒因子)在肝脏内合成必不可少的物质,可减少女性生理期大量出血,还可防止内出血及痔疮。人体维生素K 缺乏,凝血时间延长,严重者会流血不止,甚至死亡。
(2)维生素K 还参与骨骼代谢。维生素K 参与合成BGP(维生素K 依赖蛋白质),BGP能调节骨骼中磷酸钙的合成。老年人的骨密度和维生素K 呈正相关。
2.吸收与代谢
膳食中维生素K 都是脂溶性的,其吸收需要胆汁协助,主要由小肠吸收入淋巴系统,在正常情况下其中40%~70%可被吸收。其在人体内的半减期比较短,约17 h。人的肠道中有一种细菌会为人体源源不断地制造维生素K,加上在猪肝、鸡蛋、绿色蔬菜中含量较丰富,因此,人体一般不会缺乏。人工合成的水溶性维生素K,更有利于人体吸收,已广泛地用于医疗上。
3.维生素K的需要量
维生素K 缺乏会减少凝血酶原的合成,导致出血时间延长,出血不止,即便是轻微的创伤或挫伤也可能引起血管破裂,出现皮下出血以及肌肉、脑、胃肠道、腹腔、泌尿生殖系统等器官或组织的出血或尿血、贫血甚至死亡。例如:新生儿吐血、肠子、脐带及包皮部位出血;成人不正常凝血,导致流鼻血、尿血、胃出血及瘀血等症状;低凝血酶原症,血液凝固时间延长、皮下出血;小儿慢性肠炎;热带性下痢。摄入过量的维生素K 可引起溶血、正铁血红蛋白尿和卟啉尿症。
婴儿因肠内尚无细菌可合成维生素K,建议每公斤体重中摄取2 mg,一般成年人一天自食物中摄取每公斤体重1~2 mg的量便足够。
人类维生素K的来源有两方面:一方面通过肠道细菌合成,主要是K2,占50%~60%;另一方面从食物中来,主要是K1,占40%~50%。绿叶蔬菜含量高,每100 g 绿叶蔬菜可以提供50~800 μg 维生素K,是最好的食物来源。其次是奶及肉类,水果及谷类含量低。