第二节 基数效用论和边际效用分析法
基数效用论者用总效用和边际效用来衡量效用,用边际效用分析法研究消费者如何实现效用最大化。
一、总效用、边际效用和边际效用递减规律
1.总效用
总效用TU(Total Utility)是指消费者在一定时期内从一定数量的商品和服务的消费中得到的总的满足程度。总效用的大小取决于个人的消费水平,即消费的商品与服务的数量越多,总效用越大。用Q表示消费者对一种商品的消费量,则总效用函数可表示为:
TU=f(Q)
2.边际效用
边际效用MU(Marginal Utility)是指在一定时间内消费者每增加一单位商品或服务的消费所带来的效用的增加量。也就是说,在其他条件不变的情况下,随着消费者对某种物品消费量的增加,他从该物品连续增加的每一单位消费中所得到的满足程度称为边际效用。若ΔQ为商品消费量的增量,ΔTU为总效用的增量,其边际效用公式为:

3.边际效用递减规律
在日常生活中,对于普遍的物品都存在边际效用递减规律。当你消费某种商品越多,这种商品对于你个人的作用即经济学中的效用就越小,即每增加一单位某种商品的消费所带来的效用的增量是越来越少的。我们可以利用表3-1来进一步说明边际效应递减规律及理解总效用和边际效用之间的关系。
表3-1 某商品的总效用与边际效用表

由表中可以看出:
(1)当商品的消费量由0增加到1时,总效用由0增加到10效用单位,总效用的增量即边际效用为10效用单位(因为10-0=10)。
(2)当商品的消费量由1增加到2时,总效用由10效用单位上升到18效用单位,总效用的增量即边际效用下降为8效用单位(因为18-10=8)。
(3)以此类推,当商品的消费量增加到6时,总效用达到最大值为30效用单位,而边际效用已递减到0(因为30-30=0)。此时,消费者对该商品的消费已达到饱和点。
(4)当商品的消费量再增加到7时,边际效用会进一步递减为负值,即-2效用单位(因为28-30=-2),总效用便下降到28效用单位了。
由此,可以总结出边际效用递减规律:在一定时期内,在其他商品的消费数量保持不变的条件下,随着消费者对某种商品消费量的增加,消费者从该商品连续增加的每一单位消费中所得到的效用增量即边际效用是递减的。总效用等于边际效用之和,当边际效用为零时,总效用达到最大。
根据表3-1绘制的总效用和边际效用曲线如图3-1所示。从图中可以看出:
MU曲线是向右下方倾斜的,它反映了边际效用递减规律,相应地,TU曲线是以递减的速率先上升后下降的。总效用TU与边际效用MU之间存在的关系是:当边际效用为正值时,总效用曲线呈上升趋势;当边际效用递减为0时,总效用达到最大;当边际效用继续递减为负时,总效用曲线呈下降趋势。
为什么在消费过程中会呈现出边际效用递减规律呢?原因有两点:首先,从人的生理和心理的角度讲,从每一单位商品的消费中所感受到的满足程度和对重复刺激的反应程度是递减的。其次,当一种商品拥有几种用途,且不同用途的重要性不同时,消费者总是将第一个单位的商品用在最重要的用途上,此时边际效用最大,把第二个商品用在次要的用途上,由于商品用途的重要性递减,消费者获得的边际效用相应递减。


图3-1 效用曲线
你愿意购买多件相同的衣服吗?
你愿意每顿饭吃同样的菜吗?为什么?
二、消费者均衡——效用最大化
1.消费者均衡
消费者均衡是研究单个消费者如何把有限的货币收入分配在各种商品的购买中以获得最大的效用。也可以说,它是研究单个消费者在既定收入下实现效用最大化的均衡条件。消费者均衡是消费者行为理论的核心,在消费者均衡状态下的商品购买数量为最优购买数量。
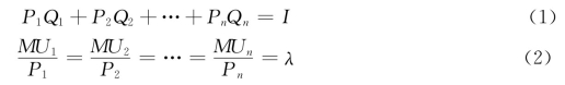
假定:消费者用既定的收入I购买n种商品,P1,P2,…,Pn分别为n种商品的既定价格,λ为不变的货币的边际效用。以Q1,Q2,…,Qn分别表示n种商品的购买数量,MU1,MU2,…,MUn分别表示n种商品的边际效用,则消费者效用最大化的条件可表示为:

式中,公式(1)是限制条件,公式(2)是在限制条件下消费者实现效用最大化的均衡条件。公式(2)表示消费者应选择最优的商品组合,使得自己花费在各种商品上的最后一元钱所带来的边际效用相等,且等于货币的边际效用。
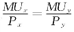
假设消费者只购买两种商品,其均衡条件可以表示为:

为什么只有当消费者实现了
的均衡条件时,才能获得最大的效用呢?可以从
的关系分析:
当
时,这对于消费者来说,花费同样的一元钱购买商品1所获得的边际效用小于购买商品2所得到的边际效用。此时,理性的消费者就会减少对商品1的购买,增加对商品2的购买,由此带来商品2边际效用的增加量大于商品1边际效用的减少量,使总效用增加。由于边际效用递减规律作用,商品2的边际效用会随其购买量的增加而减少,商品1的边际效用会随其购买量的减少而增加,直到同样的一元钱购买这两种商品所得到的边际效用相等,即
时,消费者获得最大效用。
同理,当
时,花费同样的一元钱购买商品1所获得的边际效用大于购买商品2所得到的边际效用,理性的消费者就会减少对商品2的购买,增加对商品1的购买,直到同样的一元钱购买这两种商品所得到的边际效用相等,即
时,消费者获得最大效用。
2.消费者均衡举例
例1:设I=100元,Px=10元,Py=20元,消费者的消费商品x和商品y的数量及边际效用如表3-2所示,问:在什么条件下总效用能达到最大,最大的总效用是多少?
表3-2 商品x和商品y的消费数量及边际效用

表3-3 x商品和y商品的消费组合

从表3-2中可以看出,所有组合都满足消费者均衡的限制条件P1Q1+P2Q2=I,即各种组合都正好用完100元,但是只有在x=4,y=3时,才满足
的均衡条件,所以此时总效用达到最大,最大的总效用是29效用单位。
三、消费者剩余
消费者剩余是指消费者购买某种商品时,其愿意支付的最高价格与这些商品的实际市场价格之间的差额。“愿意支付的最高价格”称为支付意愿,衡量消费者对商品的评价。消费者剩余衡量了消费者自己感觉到的所获得的额外利益。
根据边际效用递减规律,消费者从商品连续增加的每一单位消费中所得到的边际效用是递减的,消费者根据自己对商品边际效用的评价来决定自己愿意支付的最高价格,但市场的价格并不是由单个消费者的支付意愿决定的,而是由市场的供求关系决定的。当市场价格低于消费者愿意支付的最高价格时,消费者从商品的购买与消费中不仅得到满足,还得到额外的福利,即消费者剩余。
如表3-4中资料所示,消费者购买4个小笼包愿意支付的总价格为22元,实际支付的总价格为4元,消费者剩余18元。
表3-4 消费者剩余

消费者剩余是消费者的主观心理评价,反映消费者通过购买商品和消费所感受到的状态的改善。因此,消费者剩余通常被用来度量和分析社会福利问题。

消费者剩余的故事
我在海口时很想买一个电子辞典,逛了数码商城之后,相中了一款叫“名人310”。逛了几家发现这一款价格都在600元以上,而且打折的余地很小。我虽然很喜欢这部电子辞典,但由于价格不够理想,所以还不能下决心购买它。
到上海学习期间,我住的地方不远处也有一家数码城,有一天下午我逛街时就进去了,在电子辞书的专售柜台果然有“名人310”在出售,标价580,比海口便宜一点,看了机器之后我便开始了讨价还价,售货员是一个二十出头的姑娘,人虽然很热情活泼,但价格却咬得很死。我坚持的底线是530元,当我最后报出来后,小姑娘的态度有了一定的变化,她说:“这个价格实在太低了,我得请示一下。”她打电话不知跟谁说了几句之后就对我说:“好了,就做给你吧!”
小姑娘态度的突然转变反使我产生了一丝犹豫。因为一是我还没有货比三家,二是根据买东西的经验,小姑娘有故弄玄虚之嫌,就像有些卖主嘴里说着“您再添点吧,这价钱实在太低了,没法卖”,但手里已经在给你整理东西的时候,他已经向你发出了想卖的信号一样,都是想让顾客感到自己得到了很大便宜的一种姿态而已。但我不会上当。正在不想买的当头,商场看门的大爷不耐烦地嚷嚷到:“早就下班了,要关门啦!”我正好顺水推舟地说:“唉,时间来不及了,明天再说吧!”却见柜台里的小姑娘面露遗憾之色,嘴里还说着:“不要紧的,我马上给你开票,很快的!”但我已溜之大吉。
第二天一大早,我坐公交车到比较远的地方多看了几家数码商城,发现价格和昨天那家都相差无几,还有个别商场的价格赶上了海口的水平。最后我来到了一家叫“大润发”的规模很大的超市。一进超市,首先看到了一条很醒目的提示标语:“如果您在周边地区购买了比我处更便宜的同类商品,请持有关证明,大润发无条件为您补差!”看到这条承诺,我心里一下子轻松了,看来可能不虚此行。
找到了数码柜台,果然看到了“名人310”。更使我惊喜的是,上面赫然标价378元!这是我从来没有见过的低价,而且是在一家有信誉的大超市。物美价廉,我还犹豫什么?立马决定买下。当售货员拿出机器后,我发现这不是我喜欢的颜色,而且再没有别的颜色了。我问售货员:“下午还会有别的颜色吗?”她说不清楚,因为下午不是她的班。我只好遗憾地回去了。中午休息后,我突然萌生了再去一趟“大润发”的念头。到了“大润发”后,我发现柜台换了一位小伙子,我问他:“名人310有没有淡绿色的?”“有啊!”果然他拿出了我最喜欢的那一色调。这回大功告成,我终于如愿以偿。
问题1:什么叫消费者剩余?
问题2:为什么卖者与买者总是争相要对方先出价?