1
卫星测控通信系统射频测试原理与方法
1.15.10 12.10 转发器本振频率准确度和稳定度
12.10 转发器本振频率准确度和稳定度

转发器本振频率准确度是指实际频率值与标称值的相对偏差,用公式表示为

式中fup为标称上行频率;fdn为标称下行频率;f0为标称本振频率;fL为实际本振频率;a为准确度。

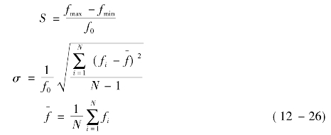
转发器本振频率稳定度是指准确度a随时间变化的关系,主要参数有2个,即在给定的测量时间内,最大频偏S和频率起伏均方根偏差σ:

测量的具体步骤如下:

(1)给定上下行和本振的标称频率值,给定多普勒频率预报值;

(2)天线对准卫星,信号源配置到上行信道,发射一个频率稳定的单载波上行信号;

(3)VSA配置到下行信道,按规定的时间间隔测量下行信号频率并记录;

(4)根据发射的上行频率和测量得到的下行频率,并扣除多普勒频率,计算出本振频率;

(5)计算最大频偏S和频率起伏均方根偏差σ。