1
卫星测控通信系统射频测试原理与方法
1.15.3 12.3 AM-PM系数
12.3 AM-PM系数

卫星有效载荷的AM-PM系数定义为输出信号的相位与输入信号幅度变化之间的关系,是描述转发器相位非线性的参数。

采用单边带法,测量时要保证监测站的输出信号使卫星转发器处于饱和状态,但监测站本身的上行信道处于线性范围内。

测量的具体步骤如下:

(1)给定已知参数Rs、fup1、fdn1、Δf、Gau、Gad

(2)校准上行信道;

(3)校准下行信道;

(4)计算频率

(5)计算信号源输出功率,使功率强度可以让卫星转发器达到饱和;

(6)天线对准卫星,信号源配置到上行信道,发射fup1信号,使卫星转发器处于饱和状态;

VSA配置到监测信道,用于测量上行信号在C1口的频谱;

(8)信号源同时发射fup1和fup2信号,调整fup2的功率,使fup2的功率比fup1的功率小30 dB,记为A;

(9)VSA配置到下行信道,测量fdn1与fdn2的功率差,记为B,测量fdn1与fdn3的功率差,记为C;

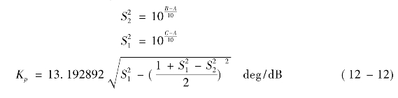
(10)计算转发器AM-PM系数Kp