1
卫星测控通信系统射频测试原理与方法
1.14.3.1 11.3.1 测角精度测量
11.3.1 测角精度测量

测角精度的测量包括指向精度和跟踪精度的测量,这2项内容描述了测控天线的定位精度。

指向精度定义为,天线的电轴对准目标后,电轴的指向与应有的天线波束中心指向之间的角度差。

跟踪精度定义为,天线在自跟踪模式下跟踪目标,天线电轴的指向与应有的天线波束中心指向之间的角度差。

1)指向精度测量-标校塔

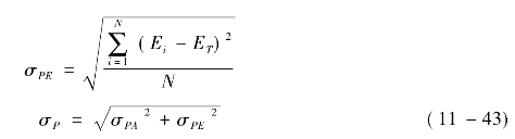
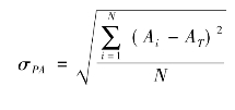
主要采用标校塔法。首先计算出被测天线指向标校塔的理论方位角和俯仰角。然后被测天线指向远处的标校塔,转动天线,使接收电平显示最大,记录下实际的方位角和俯仰角,共测N组。用如下公式计算指向精度:

式中Ai为实测方位角;Ei实测俯仰角;AT为理论方位角,为固定值;ET为理论俯仰角,为固定值;N为测量的数据个数;σPA为方位指向精度;σPE为俯仰指向精度;σP为天线指向精度。

指向精度测量原理框图见图11-20。

图11-20 指向精度测量原理框图

测量的具体步骤如下:

(1)按图11-20连接系统;

(2)计算理论方位角和俯仰角AT、ET

(3)天线指向标校塔;

(4)转动天线,使接收电平显示最大;

(5)记录实际的方位角和俯仰角Ai、Ei,共记录N组;

(6)计算σPA、σPE、σP

2)跟踪精度测量-电平跌落法

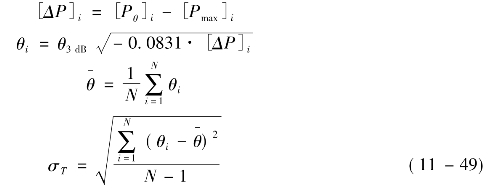
首先介绍电平跌落法的测量原理。根据式(8-48),有

式中e为自然对数,其值为2.718281828459...;θ为偏离天线最大辐射方向的角度偏差;θ3dB为天线半功率波束宽度;Gmax为天线最大辐射方向的增益;Gθ为偏离天线最大辐射方向θ角度时的增益。

公式两边同时取以10为底的对数,得

整理后得

设天线在最大辐射方向的功率为[Pmax],偏离天线最大辐射方向θ角度时的功率为[Pθ],均用分贝表示,则有

则偏离角θ与功率差[ΔP]的关系为:

由此可以得到使用电平跌落法测量跟踪精度的方法。首先,用手控模式使天线对准目标,找到最大值,记为[Pmaxi,然后用手控模式将天线偏离目标,再令天线进入自跟踪模式,记下此时的功率值,记为[Pθi,共测N组。用如下公式跟踪精度:

式中 σT为跟踪精度。

跟踪精度测量框图与指向精度测量框图相同。测量的具体步骤如下:

(1)按图11-20连接系统;

(2)用手控模式使天线对准目标并找到最大值,记为[Pmaxi

(3)用手控模式将天线偏离目标;

(4)令天线自跟踪目标,记下[Pθi

(5)共测N组;

(6)按公式计算出σT

3)跟踪精度测量-卫星法

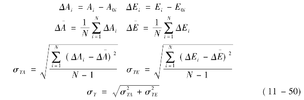
如果知道卫星的精密轨道,那么利用卫星测量跟踪精度更能体现天线的实际工作能力。首先根据卫星精密轨道根数和被测天线的大地坐标,计算出被测天线随时间变化的理论方位角A0i和俯仰角E0i。然后被测天线自跟踪卫星,实时记录实际的方位角Ai和俯仰角Ei。按如下公式计算跟踪精度:

卫星法测量跟踪精度框图与测量指向精度时的框图类似,不过要把信标机换成卫星。测量的具体步骤如下:

(1)计算出被测天线的随时间变化的理论方位角A0i和俯仰角E0i

(2)被测天线自跟踪卫星,实时记录实际的方位角Ai和俯仰角Ei

(3)按公式计算出σT