1
卫星测控通信系统射频测试原理与方法
1.14.2.7 11.2.7 AM-PM系数测量
11.2.7 AM-PM系数测量

放大器的另一个非线性特性是,当输入的射频载波幅度发生变化时,会引起载波相位的变化,这种因载波幅度变化而产生的载波输入输出间的相位变化的现象称为调幅-调相转换。对于调频信号来说,这种互调噪声会产生可懂串音,对于数字调相信号来说,调幅-调相转换将使误比特率恶化,并且还将改变发射信号的射频频谱形状。

调幅调相转换的大小程度可用AM-PM系数Kp来表示。Kp定义为:在一定频率和一定功率电平下,输入功率最大相对变化时所引起的输入输出最大相位变化。

在地面站AM-PM系数的测量中,一般采用单边带法。利用信号源1和信号源2及功率合成器产生一个单边带信号。信号SG1和SG2间的频率相差4 MHz,幅度相差30 dB。由于放大器等器件产生的调幅调相转换,进而产生互调,使得输入的单边带信号变为不对称的双边带信号。测量双边带信号幅度,就可求出Kp。AM-PM系数测量原理框图见图11-18。

1)上行链路调幅调相转换系数测量

对于上行链路,测量的具体步骤如下:

(1)按图11-18a连接上行系统,并预热1 h以上;

(2)确认高功率放大器输出接负载或天线对冷空;

(3)设置上变频器频率为待测频点频率;

(4)设置信号源1输出信号(信号电平为-10 dBm,频率为68 MHz),设置信号源2输出信号(信号电平为-40 dBm,频率为72 MHz);

(5)在合路器输出端,用频谱仪测量两个中频信号的功率差,并微调信号源2的输出功率,使中频信号1的功率与中频信号2的功率准确相差30 dB,记为A;

图11-18 AM-PM系数测量原理框图

(a)上行链路;(b)下行链路

(6)将频谱仪接回馈源输入测试口,并调整频谱仪设置,在屏幕上可看到RF1、RF2,以及互调产物RF3,RF3比RF1小4 MHz;

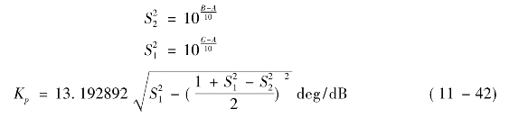
(7)测量RF1与RF2的功率差,记为B,测量RF1与RF3的功率差,记为C;

(8)计算AM-PM系数Kp

2)下行链路调幅调相转换系数测量

对于下行链路,测量的具体步骤如下:

(1)按图11-18b连接下行系统,并预热1 h以上;

(2)确认天线对冷空;

(3)设置下变频器频率为待测频点频率;

(4)设置信号源1的输出频率为f1,信号源2的输出频率为f2,两个信号相距4 MHz,设置信号源1和信号源2的输出功率使其折算到低噪声放大器输入端分别为-60 dBm和-90 dBm;

(5)在合路器输出端,用频谱仪测量两个射频频信号的功率差,并微调信号源2的输出功率,使中频信号1的功率与中频信号2的功率准确相差30 dB,记为A;

(6)将频谱仪接回基带测试口,并调整频谱仪设置,在屏幕上可看到IF1、IF2,以及互调产物IF3,IF3比IF1小4 MHz;

(7)测量IF1与IF2的功率差,记为B,测量IF1与IF3的功率差,记为C;

(8)按式(11-42)计算Kp