1
卫星测控通信系统射频测试原理与方法
1.14.1.3 11.1.3 系统等效噪声温度测量
11.1.3 系统等效噪声温度测量

系统等效噪声温度的测量主要采用Y因子法。测量原理框图见图11-6,图中Tsys为折算到馈线输入端的系统等效噪声温度,即为需要测量的参数;Ta为天线对冷空时接收的等效噪声温度;Te为折算到馈线输入端的馈线和接收机级联网络等效噪声温度;LF为天线到接收机的馈线损耗;Ter为折算到接收机输入端的接收机等效噪声温度。馈线的环境温度为Ti,图中未标出。

切换SW1使接收机连接到天线,并使天线对冷空,则Tsys等于

如果将Tsys折算到接收机输入端,则有

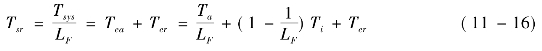
式中Tsr为折算到接收机输入端的系统等效噪声温度;Tea为折算到接收机输入端的天线等效噪声温度。

图11-6 系统等效噪声温度测量原理框图

可以看出,测量Tsys需要4个参数。LF和Ti可以事先测量或计算得到,作为已知量代入,Ta和Ter则用Y因子法测量得到。

下面第一步首先介绍Ter的测量方法。切换SW1使接收机连接到噪声源,切换SW2使接收机连接到热源,用频谱仪测量噪声功率,记为Ph,同时Teh等于

式中Teh为折算到接收机输入端的热源等效噪声温度;Toh为热源输出的等效噪声温度;LH为热源到接收机的馈线损耗;Ti为馈线的环境温度。Toh、LH、Ti均为已知值。

然后切换SW2使接收机连接到冷源,用频谱仪测量噪声功率,记为Pc,此时Tec等于

式中Tec为折算到接收机输入端的冷源等效噪声温度;Toc为冷源输出的等效噪声温度;LC为热源到接收机的馈线损耗,Ti为馈线的环境温度。Toc、LC、Ti均为已知值。

则Y因子为

则Ter等于

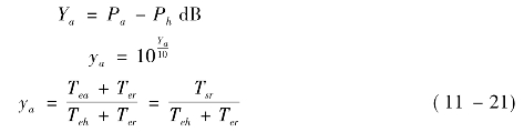
第二步,测量Tea或者Tsr。切换SW1使接收机连接到天线,并使天线对冷空。用频谱仪测量噪声功率,记为Pa,与热源进行对比,有Y因子

则Tea和Tsr等于

最后计算出Tsys

测量的具体步骤如下:

(1)按照图11-6连接仪表;

(2)切换SW1和SW2使接收机连接到热源;

(3)用频谱仪测量噪声功率,记为Ph

(4)切换SW1和SW2使接收机连接到冷源;

(5)用频谱仪测量噪声功率,记为Pc

(6)切换SW1使接收机连接到天线,并使天线对准冷空;

(7)用频谱仪测量噪声功率,记为Pa

(8)计算Yn、Teh、Tec,求出Ter

(9)计算Ya、求出Tsr

(10)通过Tsr、LF,求出Tsys