1
卫星测控通信系统射频测试原理与方法
1.14.1.1 11.1.1 天线方向图测量
11.1.1 天线方向图测量

天线方向图是天线最基本的参数,通过天线方向图,可以得到天线半功率波束宽度、天线增益、副瓣电平等参数。完整的方向图是一个三维空间立体图形,但在工程测量中,一般只测量互相垂直的两个平面内的方向图,通常取方位平面和俯仰平面。测量的方法有信标法和辅助站法,前一种方法适用于收发天线的方向图测量,后一种方法适用于发天线的方向图测量。

1)信标法

信标法测量天线方向图原理框图见图11-1。在距离天线足够远处设置一台信标机,该信标机发射一个功率和频率稳定的单载波信号。将一台频谱仪连接到接收机上,频谱仪的输出接一台记录设备。令天线对准目标,然后分别在方位和俯仰方向上转动角度,进行角度扫描,在频谱仪上同步测量出电平值,由记录设备记录,即可绘制出天线方向图。

图11-1 信标法测量天线方向图原理框图

信标机必须距离被测天线做够远,以保证远场条件,即满足

式中r被测天线到信标机的距离,单位为m;D被测天线直径,单位为m;λ波长,单位为m。

同时信标机必须距地面做够高,保证被测天线的俯仰角足够大,以减少地面反射的影响。

因此通常在远处建一座标校塔用来放置信标机。如果地球同步卫星能够提供需要的频率资源,则完全满足远场条件,而且效果要比用标校塔好。

信标法适用于收发天线方向图测量,根据天线互易原理,一个天线的发射方向图等于该天线的接收方向图。例如图中的天线是一个C波段天线,其接收频率为4 GHz,发射频率为6 GHz。那么在测量接收方向图时,图中的接收机接在馈源的接收口,并且是一个4 GHz的接收机。而在测量发射方向图时,则要断开馈源发射口的波导,接入一个6 GHz的低噪声放大器,此时测出的频率为6 GHz的方向图即为发射方向图。

测量的具体步骤如下:

(1)按照图11-1连接仪表;

(2)设置信标机的输出频率、输出功率、输出极化;

(3)设置频谱仪的起止频率、分辨带宽、视频带宽、扫描时间;

(4)驱动天线对准信标机,记下此时的方位角和俯仰角,并标记为方位参考零值和俯仰参考零值;

(5)调整频谱仪的参考电平,使接收信号处于屏幕中合适的位置;

(6)固定方位值,以俯仰参考零值为基准,令俯仰向下转动θEL°,记为-θEL°;

(7)驱动俯仰向上转动直至+θEL°;

(8)在天线转动过程中,同步记录下俯仰值和接收电平,进而绘制出天线俯仰方向图;

(9)驱动天线重新对准信标机;

(10)固定俯仰值,以方位参考零值为基准,令方位向左转动θAZ°,记为-θAZ°;

(11)驱动方位向右转动直至+θAZ°;

(12)在天线转动过程中,同步记录下方位值和接收电平,进而绘制出天线方位方向图。

2)辅助站法

在某些情况下测量发射方向图时,比如被测天线找不到适用于发射频率的低噪声放大器,或不方便拆卸馈源波导,则可利用卫星和一个辅助站完成测试。辅助站法测量天线方向图原理框图见图11-2。被测天线对准卫星并向卫星发射一个单载波信号,卫星把接收到的信号向地面转发,辅助站对准卫星并接收卫星转发的信号。然后转动被测天线,由辅助站记录接收电平,同时由被测站或辅助站同步记录被测天线转动角度,即可绘制出天线发射方向图。

测量的具体步骤如下:

(1)按照图11-2连接仪表;

图11-2 辅助站法测量天线方向图原理框图

(2)被测天线对准卫星,记下此时的方位角和俯仰角,并标记为方位参考零值和俯仰参考零值;

(3)设置被测天线的输出频率、输出功率、输出极化;

(4)辅助站对准卫星;

(5)设置频谱仪的起止频率、分辨带宽、视频带宽、扫描时间、参考电平,并使接收信号处于屏幕中合适的位置;

(6)固定被测天线的方位值,以俯仰参考零值为基准,令俯仰向下转动θEL°,记为-θEL°;

(7)驱动俯仰向上转动直至+θEL°;

(8)在被测天线转动过程中,同步记录下被测天线的俯仰值和辅助站的接收电平,进而绘制出天线俯仰方向图;

(9)驱动被测天线重新对准卫星;

(10)固定被测天线的俯仰值,以方位参考零值为基准,令方位向左转动θAZ°,记为-θAZ°;

(11)驱动方位向右转动直至+θAZ°;

(12)在被测天线转动过程中,同步记录下被测天线的方位值和辅助站的接收电平,进而绘制出天线方位方向图。

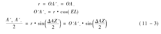
3)方位角的修正

在测量方位方向图时,天线给出的方位角一般是水平面内的方位角,而实际需要的是空间平面内的方位角,因此需要对方位角进行修正。方位修正示意图见图11-3,图中O点为天线回转中心;平面A+OA-为水平面;直线Oz垂直该平面指向天顶。EL为天线的俯仰角;直线OA+'和直线OA-'分别为天线在俯仰角为EL的条件下,正偏和负偏后电轴的指向;OA+和OA-分别为天线正偏和负偏后方位的指向。

从图中可看出

式中 ΔAZ为实际显示的方位偏离值,ΔAZ'为修正后的方位偏离值。

可以看出ΔAZ和ΔAZ'是不一样的,二者的关系为

整理后得

图11-3 方位修正示意图