1
卫星测控通信系统射频测试原理与方法
1.13.4 10.4 滤波器测量
10.4 滤波器测量

滤波器的关键指标是插入损耗、滤波带宽、群时延。这些指标可用矢量网络分析仪的S21参数测量。滤波器传输参数测量框图见图10-8,需要用到端口1和端口2。

图10-8 滤波器传输参数测量框图

测量的具体步骤如下:

(1)设置矢量网络分析仪的起始频率、结束频率、输出功率;

(2)进行双端口校准;

(3)接入被测滤波器;

(4)选择S21参数进行测量;

(5)分别显示幅频响应、相频响应、群时延频率响应曲线。

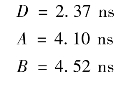
图10-9给出了一个C波段滤波器的测量结果。该滤波器的标称指标为,中心频率3950 MHz,带宽500 MHz。

图10-9 滤波器传输参数测量结果

(a)幅频响应;(b)相频响应;(c)群时延频率响应

设中心频率为fc,频率下限为fA,频率上限为fB,则有

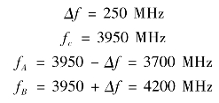
从图10-9a中可得到这三个频点的插入损耗

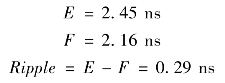
从图10-9c中可得到这三个频点的群时延值

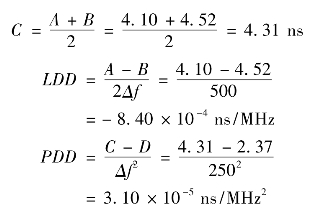
进而可计算出

带内最大波动出现在频率3948 MHz和3978 MHz处,则有