1
卫星测控通信系统射频测试原理与方法
1.12.7.3 9.7.3 功率与调相指数的关系
9.7.3 功率与调相指数的关系

根据遥测信号的功率谱,可以确定残留载波、副载波的功率,以及与调制指数的关系。

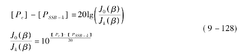
式中k=1,2,3,…;PT为发射机总功率;Pc为残留载波功率;PSSB-k为ωc±2ωsc处的单边带功率;J0(β)为0阶贝塞尔(Bessel)函数;Jk(β)为k阶贝塞尔(Bessel)函数。

如果用分贝表示,则为

该公式表明,如果用频谱仪测得了残留载波和副载波的功率,通过查阅贝塞尔函数表,可以得到调相指数β。

如果调制指数较大,副载波二阶边带的功率将足够大。由于二阶边带是单频信号,因此测量二阶边带的功率要比测量一阶边带的功率精度高。