1
卫星测控通信系统射频测试原理与方法
1.12.7.1 9.7.1 遥测信号调制过程
9.7.1 遥测信号调制过程

1)PCM编码

式中SPCM(t)为经过PCM编码后的信号,为双极性码;ak为数据比特流;g(t)为码元脉冲波形;b为码元周期,是Rb的倒数。

2)BPSK调制

式中SBPSK(t)——经过BPSK调制后的信号;

ωsc——调制副载波角频率。

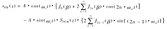
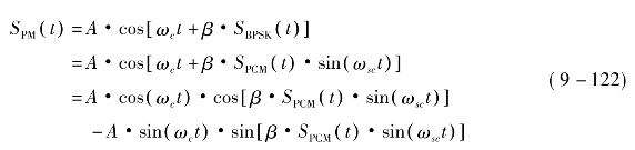
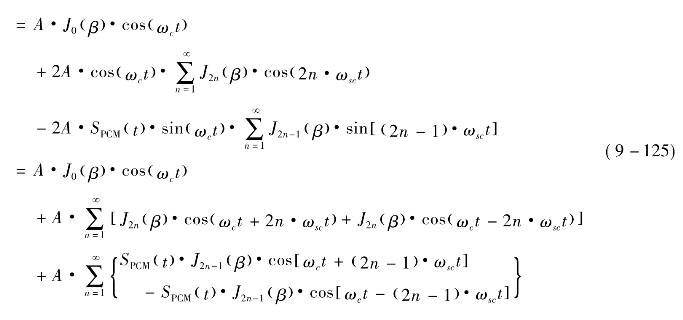
3)PM调制

式中SPM(t)为经过PM调制后的信号;A为载波幅度;ωc为载波角频率;β为调相指数,单位为rad。

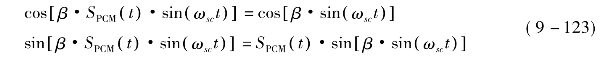
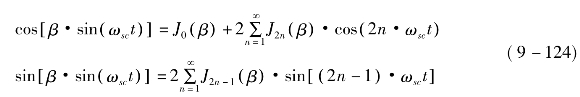
因为SPCM(t)为双极性码,只取“+1”或“-1”,则有

利用贝塞尔函数,则有

则式(9-122)可改写为