1
卫星测控通信系统射频测试原理与方法
1.12.6.2 9.6.2 载波功率分配
9.6.2 载波功率分配

1)功率最佳分配准则

残余载波解调门槛应小于或等于任何一个副载波信道的解调门槛。因为副载波的数据要能解调出来,首先载波接收机必需能捕获和跟踪上载波和解调出副载波,这样才能保证载波解调不会影响副载波解调。

所有副载波的门槛值随通信距离远近变化的变化率应是相同的,这样,当总功率下降时.所有副载波会同时低于门槛值。

每个副载波的一阶边带中的有用功率应尽可能大,这可使全系统的交叉损耗和末利用的功率损耗最小。

2)载波和副载波占用功率的一般表达式

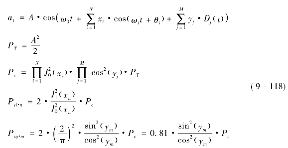
设有N个正弦副载波和M个方波副载波对载波调相,并且假定调制指数较小,即窄带调相。各信号只取到一阶边带,则各信号的功率关系如下:

式中n=1,2,…,N;m=1,2,…,M;at为调相信号时域表示;A为调相信号的幅度;ω0为载波频率;ωi为第i路正弦副载波频率;θi为第i路正弦副载波相位;Dj为第j路方波副载波信号;xi为第i路正弦副载波对载波的调相指数,单位为rad;yj为第j路方波副载波对载波的调相指数,单位为rad;PT为发射机总功率;PC为残余载波功率;Psi.n为第n路正弦副载波一阶边带可恢复的功率;Psq.m为第m路正弦副载波一阶边带可恢复的功率;xn为第n路正弦副载波对载波的调相指数,单位为rad;ym为第m路方波副载波对载波的调相指数,单位为rad;J0(xn)为零阶贝塞尔(Bessel)函数;J1(xn)为一阶贝塞尔(Bessel)函数。

注意:Psi.n和Psq.m的公式中都乘以2,表示考虑了上下一阶边带的功率。

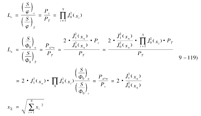
3)载波和副载波调制损失

不考虑方波,只有N个副载波。

式中Lc为残留载波信号调制损失;Ln为第n路正弦副载波信号调制损失;(S/Ф0)T为总有效功率信号与噪声功率谱密度比;(S/Ф0)c为残留载波信号与噪声功率谱密度比;(S/Ф0)n为第n路正弦副载波信号与噪声功率谱密度比;xΣ为总调制度。