1
卫星测控通信系统射频测试原理与方法
1.12.4.4 9.4.4 正交解调
9.4.4 正交解调

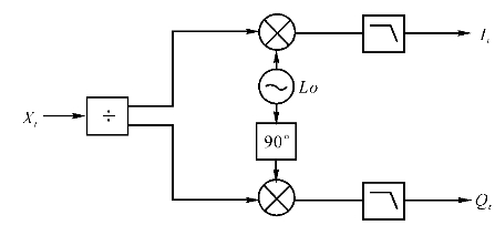
图9-12 正交解调原理框图

矢量正交解调原理框图见图9-12。输入信号为窄带调制信号,为实信号,首先被分成两路,然后分别与本振相乘,最后进行滤波,得到IQ两路信号。已知输入信号为

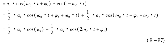
对于I路信号,有:

xt·cos( ω0·t)=xt·cos( -ω0·t)

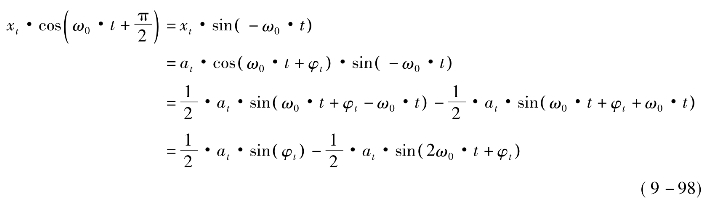
对于Q路信号,有

分别滤除高频项,得到IQ两路信号