1
卫星测控通信系统射频测试原理与方法
1.12.4.3 9.4.3 矢量调制
9.4.3 矢量调制

图9-11 矢量调制原理框图

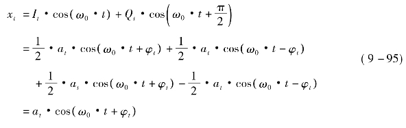
矢量调制原理框图见图9-11。首先生成IQ两路信号,然后I路信号与本振直接相乘,Q路信号与移相90°后的本振相乘,最后两路信号相加得到调制信号xt。下面是推导过程。

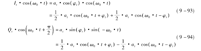
已知基带信号为

由此得到IQ两路信号,分别与本振相乘,则有

最后将两路信号相加得到xt,即