1
卫星测控通信系统射频测试原理与方法
1.12.3.2 9.3.2 FSK
9.3.2 FSK

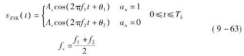
FSK(Frequency Shift Keying,二进制频移键控)的表达式可写为

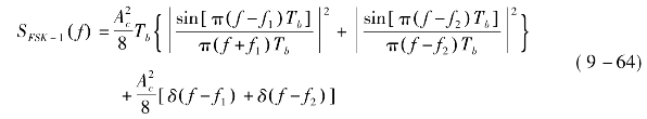
式中 θ1和θ2为初相。如果码序列“1”和“0”出现的概率相等,则FSK的单边功率谱为