1
卫星测控通信系统射频测试原理与方法
1.12.1.1 9.1.1 数字基带信号一般表达式及功率谱
9.1.1 数字基带信号一般表达式及功率谱

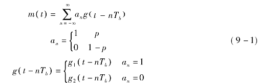
数字基带信号的一般表达式可写为:

式中m(t)为数字数字基带信号;an为输入码序列,只有“1”和“0”两个值,它们出现的概率分别为p和1-p;g(t-nTb)为码型,有两种波形g1(t-nTb)和g2(t-nTb),分别对应an的1”和“0”,其码元宽度为Tb

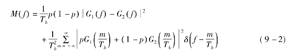
设波形1的傅里叶变换为G1(f),波形2的傅里叶变换为G2(f),则m(t)的功率谱M(f)为

式中 第一项为连续谱,第二项为离散谱。

如果采用双极性码且两个波形的概率相等,上式变为