1
卫星测控通信系统射频测试原理与方法
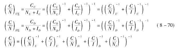
1.11.6.6 8.6.6 合成上下行链路载波与噪声加干扰功率比
8.6.6 合成上下行链路载波与噪声加干扰功率比

式中(C/N)为端到端链路总载波与噪声加干扰功率比;(C/N)为上行链路载波与噪声加干扰功率比;(C/N)为下行链路载波与噪声加干扰功率比;(C/N)U为上行链路载噪比;(C/N)D为下行链路载噪比;(C/I)U为上行链路载波与干扰功率比;(C/I)D为下行链路载波与干扰功率比;(C/NI)为卫星转发器载波与互调噪声功率比。