1
卫星测控通信系统射频测试原理与方法
1.11.4.1 8.4.1 接收系统等效噪声温度
8.4.1 接收系统等效噪声温度

接收系统的框图见图8-6,由天线、馈线、接收机组成。图中:Ta为天线接收的噪声温度;Ti为馈线环境温度;LF为馈线功率损耗;TeF为折算到馈线输入端的馈线等效噪声温度;Ter为折算到接收机输入端的接收机等效噪声温度;Te为折算到馈线输入端的馈线和接收机级联网络等效噪声温度;Ts为折算到馈线输入端的接收系统等效噪声温度;Tsr为折算到接收机输入端的接收系统等效噪声温度。

图8-6 接收系统框图

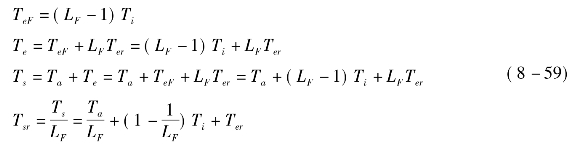
根据式(6-37),有

可以看出,接收系统等效噪声温度包括两部分,一部分来自于天线接收的噪声,属于外部噪声;另一部分来自于接收机的噪声,属于内部噪声。

由于馈线损耗的存在,接收系统等效噪声温度有两种表达形式,等效到馈线前端的Ts和等效到馈线后端的Tsr。正是由于馈线损耗的存在,所以要求接收机前端的低噪声放大器尽可能靠近馈源,缩短馈线长度,减少馈线对接收系统等效噪声温度的影响。

同时,根据式(6-41)的分析结果,如果系统第一级的增益足够大,则整个系统的等效噪声温度只由第一级的等效噪声温度决定。因此总是采用高增益、低噪声的放大器作为接收机的前端,以降低接收系统的内部噪声。

接收系统的外部噪声称为天线噪声。天线噪声与工作频率、地理位置、仰角、外界条件有关。外界条件主要是来自天线外部的各种电磁辐射,很难人为消除,只能通过合理选择天线的配置参数,尽可能的减少外界条件的影响。