1
卫星测控通信系统射频测试原理与方法
1.11.3.2 8.3.2 极化损耗
8.3.2 极化损耗

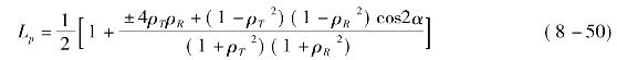
入射波极化方向与接收天线极化方向不一致时,接收信号功率要产生损耗。对于圆极化,其极化损耗公式为

式中Lp为天线极化损耗;ρT为发射波的极化轴比;ρR为接收设备要求的极化轴比;α为两个椭圆长轴的夹角。

对于线极化,极化损耗公式为

式中 β为两个线极化方向的夹角。