1
卫星测控通信系统射频测试原理与方法
1.11.2.1 8.2.1 信标式通信方程
8.2.1 信标式通信方程

在链路计算中,通信方程是一个重要的公式。最基本的通信链路由一个发射站和一个接收站组成,见图8-4。

图8-4 信标式通信链路

图中PT为发射机输出功率;PTA为发射天线注入功率;LTF为发射机至发射天线的发射馈线损耗;GT为发射天线增益;PRA为接收天线接收功率;PR为接收机输入功率;LRF为接收天线至接收机的接收馈线损耗;GR为接收天线增益;Ae为接收天线有效接收面积;r为两天线距离。

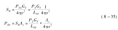
则信标式通信方程为

式中SR为接收天线处的功率通量密度;PRA为接收天线接收的功率。

已知接收天线增益与有效面积的关系为

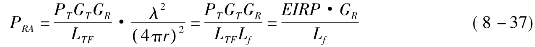
将式(8-36)代入式(8-35),有

式(8-37)中的EIRP等于

式中Lf为自由空间损耗。

可以看出,引入等效全向辐射功率和自由空间损耗这两个参数后,通信方程变得非常简洁。式(8-37)和式(8-38)如果用分贝表示则计算起来更加方便,公式为

而接收机的输入功率为