1
卫星测控通信系统射频测试原理与方法
1.11.1.3 8.1.3 方向系数
8.1.3 方向系数

方向图可以描述同一天线在不同方向上辐射能量的大小,但无法比较不同天线之间辐射能量的集中程度。为了能够定量的比较不同天线之间的方向性,定义了天线方向系数这个参量。

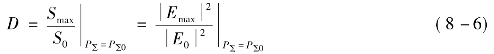
方向系数的定义为,在相同辐射功率和相同的距离下,天线在最大辐射方向上的辐射功率密度Smax与理想点源的辐射功率密度S0之比,或者是二者场强绝对值的平方之比,用D表示。很明显,理想点源的方向系数为1。方向系数D的表达式为

式中PΣ为天线实际辐射的功率,PΣ0为理想点源辐射的功率。二者应该相等。

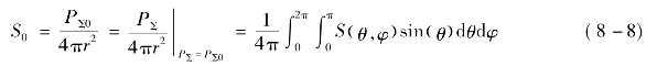
下面求方向系数D与归一化方向函数F(θ,φ)之间的关系。天线实际辐射的功率可用坡印廷矢量积分法计算,即

而理想点源的辐射功率密度S0

所以方向系数D又可写成

又因为

所以方向系数D与归一化方向函数F(θ,φ)的关系为