1
卫星测控通信系统射频测试原理与方法
1.10.4 7.4 阿伦方差
7.4 阿伦方差

在时域,频率稳定度可以采用阿伦(Allan)方差表示。根据单边相对频率起伏的定义,有公式

该公式为频率稳定度公式。由于在实际工作中得不到瞬时频率,所以首先设频率取样时间为τ,测出τ时间内的第一个平均频率。然后再无间隙的设频率取样时间为τ,测出τ时间内的第二个平均频率。将两个平均频率作为一组数据,共测N组。用每一组数据计算一个方差,再将方差求和并平均。

当各组内无间隙,而组间有间隙时,有公式

当所有组无间隙时,有公式

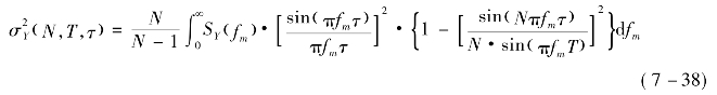
阿伦方差与相位噪声的关系为,当组间有间隙时

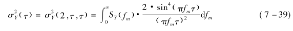
当组间无间隙时