1
卫星测控通信系统射频测试原理与方法
1.10.3.4 7.3.4 倍频器和分频器的相位噪声
7.3.4 倍频器和分频器的相位噪声

设有一调相信号

U1(t)的瞬时相位为

U1(t)的瞬时频率为

经过n倍频后,频率f1(t)变为

相位Φ1(t)变为

则倍频后的信号为

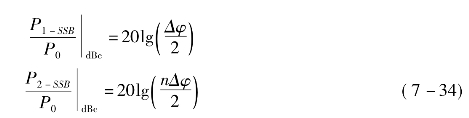
根据式(7-9),有

此公式表明,一个信号经过n倍频后,相位噪声变为原来的n2倍。类似的一个信号经过n倍分频后,相位噪声变为原来的1/n2倍。