1
卫星测控通信系统射频测试原理与方法
1.10.3.2 7.3.2 调制信号为随机噪声时的相位噪声
7.3.2 调制信号为随机噪声时的相位噪声

1)双边相位起伏谱密度

由于相位噪声是由噪声调制引起的,噪声不是单一的频率,而是一个宽的频谱,故需要用谱密度表示。随机调相信号表达式如下:

此处Ф(t)为随机信号,Ф(t)很小,则式(7-10)可写为

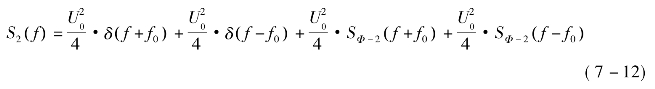
经推导,U(t)的功率谱密度为:

式中S2(f)为U(t)的双边功率谱密度;SФ-2(f+f0)为Ф(t)在f=-f0时的双边功率谱密度;SФ-2(f-f0)为Ф(t)在f=f0时的双边功率谱密度;δ(f+f0)为单位冲击函数,在f=-f0处,其值为1;δ(f-f0)为单位冲击函数,在f=f0处,其值为1。

随机调相信号的双边功率谱密度的图形见图7-1。

图7-1 双边功率谱密度

U(t)的单边功率谱密度为

随机调相信号的单边功率谱密度的图形见图7-2。

图7-2 单边功率谱密度

用fm表示的单边功率谱密度图形见图7-3。

图7-3 用fm表示的单边功率谱密度

由此给出如下定义,SФ-2(f)为Ф(t)的双边相位起伏谱密度,单位为rad2/Hz,fm为偏离载波fm处的频率。

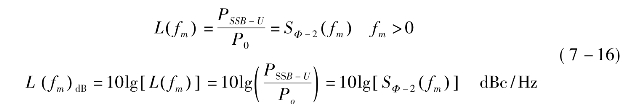
2)单边带相位噪声

由此给出如下定义,L(fm)为偏离载波fm处的单边带相位噪声。L(fm)dB是L(fm)的对数形式,是在实际工作中使用最广泛的一种形式。

3)单边相位起伏谱密度

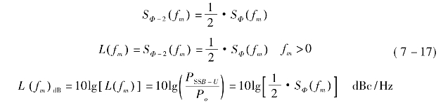
设SФ(fm)为Ф(t)的单边相位起伏谱密度,则

Ф(t)的单边相位起伏谱密度的图形见图7-4。

图7-4 单边相位起伏谱密度

图中实线为单边相位起伏谱密度,虚线为双边相位起伏谱密度。

4)相位抖动

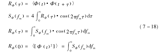
根据维纳-辛钦定理,Ф(t)的自相关函数和单边相位起伏谱密度SФ(fm)的关系为

RФ(0)的均方根定义为相位抖动RMS_JФ,单位为rad。RMS_JФ的公式为