1
卫星测控通信系统射频测试原理与方法
1.9.5.3 6.5.3 冷源法
6.5.3 冷源法

在前面介绍的Y系数法和增益法中,都假定源是匹配的。但在实际测量中,噪声源和放大器之间往往存在失配的情况,源端的失配会影响到噪声系数的测量结果。冷源法也是从噪声系数的定义出发进行测量的,在这一点上与增益法的测量原理相同,但冷源法考虑了源的失配情况。考虑失配情况时,噪声系数可写为

式中PiA、PoA、NiA、NoA均为资用功率;GA为资用功率增益。

式中NoE为测量得到的噪声功率;Γout为被测单元输出端反射系数。

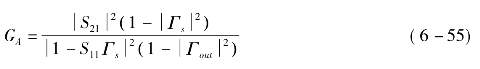
而资用功率增益GA等于

整理后得噪声系数为

公式中的参数可用矢量网络分析仪测量得到。