1
卫星测控通信系统射频测试原理与方法
1.9.5.1 6.5.1 Y系数法
6.5.1 Y系数法

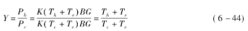
在二端口网络的输入端分别接入两个具有不同噪声温度的噪声源,噪声源的噪声温度已知。在输出端分别测量输出噪声功率,并把输出噪声功率的比值记为Y,此方法称为Y系数测量法。通过Y系数测量法可测量二端口网络的等效输入噪声温度和噪声系数,测量原理框图见图6-4。图中各被测单元与测量仪表的连接均匹配。

图6-4 Y系数测量法原理框图

设热源的噪声温度为Th,冷源的噪声温度为Tc,被测单元的等效输入噪声温度为Te,增益为G,测量带宽为B。

首先将开关置于热源,记录下被测单元在热源状态下的输出噪声功率,其值为

然后将开关切换到冷源,记录下被测单元在冷源状态下的输出噪声功率,其值为

则Y系数为

则被测单元的等效输入噪声温度为Te

噪声系数为

式中Th和Tc均为已知值;Y为测量值;T0为290 K。

由此可计算出Te和F。使用Y系数法的优点是不必知道被测单元的增益。