1
卫星测控通信系统射频测试原理与方法
1.9.4.4 6.4.4 级联网络的等效噪声温度和噪声系数
6.4.4 级联网络的等效噪声温度和噪声系数

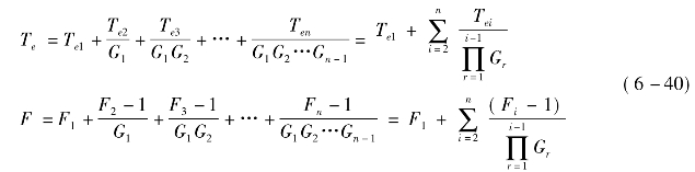
当级联网络的输入、输出及网络间均匹配,且满足各级噪声等效带宽相同,中心频率相同,或满足B1≥B2≥…≥Bn时,有

式中Te为折算到输入端的总等效噪声温度;Te1…Ten为各级折算到输入端的等效噪声温度;F为总噪声系数;F1…Fn为各级噪声系数。

如果G1的增益足够大,则

此式表明,对于级联网络,当第一级的增益足够大时,整个网络的效噪声温度和噪声系数只由第一级决定。