1
卫星测控通信系统射频测试原理与方法
1.9.4.2 6.4.2 有源网络的等效噪声温度
6.4.2 有源网络的等效噪声温度

一个有源网的等效噪声温度定义为:若在该有源网络(本身产生噪声)输入端连接一个无噪声电阻(即噪声温度Ti=0)时,其输出噪声功率为ΔN(相当于在环境温度下该网络新增的噪声功率),那么,如果把该有源网络看作是理想无噪声的有源网络,为在其输出端产生相同噪声功率而需要在其输入端连接一个噪声温度为Te的电阻。见图6-2。

图6-2 有源网络噪声模型

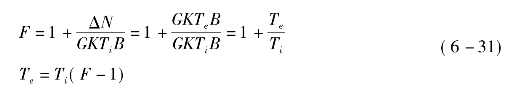
如果输入端电阻的噪声温度不为零,则有

此式给出了等效噪声温度与噪声系数的关系。在实际应用中,通常设置Ti=290 K,290 K称为标准噪声温度,用T0表示。此时Te与F有一一对应关系,即