1
卫星测控通信系统射频测试原理与方法
1.9.4.1 6.4.1 噪声系数
6.4.1 噪声系数

系统的噪声系数定义为系统的输入信噪比与输出信噪比的比值,表示信噪比经过系统后变坏的程度。噪声系数的公式为

式中Pi为输入功率;Po为输出功率;G为功率放大倍数;Ni为输入噪声功率;No为输出噪声功率。

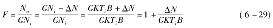
设系统的增益为G,则有

将No改写如下形式,有

此式表明输出噪声由两部分组成,第一部分GNi是输入噪声经过系统后在输出端的反映,第二部分ΔN是系统内部噪声在输出端的反映。

而Ni等于

则噪声系数可写为