1
卫星测控通信系统射频测试原理与方法
1.9.1 6.1 起伏噪声的统计特性
6.1 起伏噪声的统计特性

起伏噪声包括热噪声和散弹噪声。起伏噪声的瞬时电压和电流的取值是随机的,其瞬时幅度随时间杂乱无规则的变化,因此不能用确定的时间函数来表示,但可以用统计特性表示。起伏噪声电压的时间平均值为

vn(t)为瞬时幅度,T趋向于无限大,表示起伏噪声是非周期的。起伏噪声电压的起伏强度为

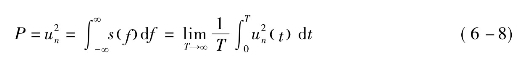
Δvn(t)也是随机的,均值为零,幅度在均值上下波动。对起伏强度的平方值取平均,称为起伏噪声电压的均方值(方差),公式为

此式的物理意义是噪声作用于1Ω电阻上的平均功率,它是一个确定的值。

起伏噪声可以看成是无数单脉冲电压叠加而成的。由于各个单脉冲之间的相位是随机的,幅度的叠加也是随机的,从宏观上看,噪声的幅度是上下起伏的。但是噪声的平均功率却是线性叠加的。单脉冲电压的功率谱密度是一个常数,因此,由无数单脉冲电压构成的起伏噪声的功率谱密度也是一个常数。单脉冲电压的双边功率谱密度为

式中n0为单边功率谱密度,是一个常数。

则起伏噪声的平均功率为

则可得出