1
卫星测控通信系统射频测试原理与方法
1.8.2.4 5.2.4 单端口和多端口元件的S参数
5.2.4 单端口和多端口元件的S参数

微波元件按端口分主要有单端口、二端口、三端口、四端口元件,四端口以上的元件较少见。二端口元件是种类最多,应用最广泛的的元件,前面已经介绍了二端口元件S参数及S参数的物理意义。本小节介绍单端口和多端口的S参数,并给出S参数与元件技术参数之间的关系。

1)单端口元件

单端口元件只有一个端口,一般是负载性质的元件,主要包括匹配负载、短路器、失配负载等。

单端口元件只有一个参数S11,通过S参数可计算出反射系数、电压驻波比、回波损耗。因此可认为单端口元件是二端口元件的一个子集。

2)三端口元件

典型的三端口元件是二功分器/合成器,见图5-6。作为分路器使用时,1口的输入功率分成两路,从2口和3口输出。作为合成器使用时,功率从2口和3口输入,合成的功率从1口输出。

图5-6 功率分配器/合成器

(a)分路器;(b)合成器

二功分器/合成器的S参数为

在各端口均匹配的情况下,二功分器/合成器的基本指标有插入损耗、隔离度。如果2口和3口是等功率分配,则有平衡度指标。

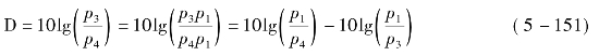
(1)插入损耗是端口1的输入功率与端口2或3的输出功率之比,公式为

式中p1为端口1的输入功率;p2为端口2的输出功率;p3为端口3的输出功率。

所以有

式中a1、b2、b3均取有效值。

因此

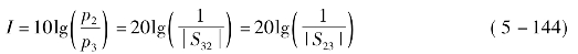
(2)隔离度可定义为端口2的输入功率与端口3的输出功率之比。其公式为

(3)平衡度可定义为S21与S31之比。是衡量端口2和端口3之间幅度和相位关系的一个值。其公式为:

它是个复数,包括幅度平衡和相位平衡。

3)四端口元件

典型的四端口元件是定向耦合器,原理图见图5-7。

图5-7 定向耦合器原理图

图5-7中:1口为输入端;2口为直通端;3口为耦合端;4口为隔离端。

定向耦合器的S参数为

定向耦合器是一个可逆四端口网络,即

在各端口均匹配的情况下,可定义定向耦合器的四个基本参数,插入损耗、耦合度、隔离度、方向性。

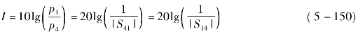
(1)插入损耗是输入端的输入功率与直通端的输出功率之比,公式为

(2)耦合度是输入端的输入功率与耦合端的耦合输出功率之比,公式为

(3)隔离度是输入端的输入功率与隔离端的输出功率之比,公式为

(4)方向性是耦合端的耦合输出功率与隔离端的输出功率之比,公式为

所以有

最后,需要注意的是,在实际测量这些参数时,比如使用网络分析仪进行测量,一般是把三端口或四端口网络当做二端口网络处理,即在测量某一个指标时,一次使用两个端口,其余端口接匹配负载。例如测量耦合度时,用到的是端口1和端口3,此时需要把端口2和端口4接上匹配负载,则定向耦合器等效为一个二端口网络。