1
卫星测控通信系统射频测试原理与方法
1.8.2.2 5.2.2 S参数的物理意义
5.2.2 S参数的物理意义

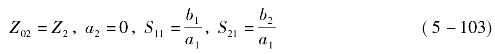
1)端口2无源且匹配

见图5-3,端口2无源,并且接匹配负载。此时有

式中S11为输入电压反射系数;S21为正向电压传输系数,与传递函数相对应。

图5-3 端口2无源且匹配

当特征阻抗为实数时,输入电压驻波比、输入回波损耗可用S11表示。因为

所以输入电压驻波比为

而输入回波损耗为

输入输出功率增益以及输入输出相移可用S21表示。

G21为正值时表示增益,为负值时表示损耗。

而相移为

得到相移参数后,即可求出网络的时延参数。

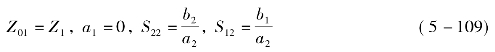
2)端口1无源且匹配

见图5-4,端口1无源,并且接匹配负载。此时有

式中S22为输出电压反射系数;S12为反向电压传输系数。

图5-4 端口1无源且匹配

与端口1类似,有

输出电压驻波比为

输出回波损耗为

反向功率增益为