1
卫星测控通信系统射频测试原理与方法
1.8.1.3 5.1.3 传输线输入阻抗与状态参数
5.1.3 传输线输入阻抗与状态参数

1)输入阻抗

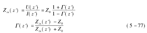
传输线上任意一点的输入阻抗定义为该点电压与电流之比。将坐标原点设在终端处,则传输线上z'处的输入阻抗为

式中Zin(z')为输入阻抗;ZL为负载阻抗;th(γz')为双曲正切函数。

ZL与th(γz')的公式为

对于无耗传输线,有

相应的输入导纳为

式中Yin(z')为输入导纳;Y0为特征导纳;YL为负载导纳。

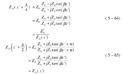
当线的长度为l时,则得始端的输入阻抗为

输入阻抗具有λ/4变换性和λ/2重复性。

可见,均匀无耗传输线上任意一点的输入阻抗与观察点的位置、传输线的特性阻抗、终端负载阻抗、工作频率有关。

由于传输线上的电压和电流不能直接测量,所以传输线上的阻抗也不能直接测量。只能借助于状态参量,如反射系数或驻波比的测量而获得。

2)反射系数

反射系数定义为传输线上任意一点的反射波电压(或电流)与入射波电压(或电流)之比。设原点在终端处,根据式(5-26),有

则传输线上z'处的电压反射系数为

电流反射系数为

所以有:

可知电流反射系数和电压反射系数相差180°,通常使用电压反射系数,简称反射系数。

又因为

则反射系数可写为

当z'等于0时,此时的反射系数称为终端反射系数,即

因此,反射系数可改写为

对于均匀无耗传输线,有

反射系数可写为

如果负载阻抗与传输线特性阻抗相等,则终端反射系数为0,表示无反射,同时可知传输线上各处的反射系数也为0。此时可称为阻抗匹配。

下面求输入阻抗与反射系数的关系。将电压和电流用反射系数表示,可写成

则有

由此可见,当传输线特性阻抗一定时,输入阻抗与反射系数有明确的对应关系,因此,输入阻抗可通过反射系数的测量来确定。

3)驻波系数

传输线上各点的电压和电流是由入射波和反射波叠加而成的,结果在传输线上形成驻波。因此引入电压驻波比(VSWR)的概念。电压驻波比定义为,在均匀无耗传输线上,电压振幅最大值与电压振幅最小值之间的比值。电压驻波比的公式为

下面求电压驻波比与电压反射系数的关系。

对于均匀无耗传输线,有

电压驻波比是一个无量纲的标量。电压驻波比的倒数称为行波系数,写为

4)各参数之间的关系

现将均匀无耗传输线的阻抗、反射系数、电压驻波比、行波系数的关系列举如下:

均匀无耗传输线有三种工作状态,行波状态,驻波状态、行驻波状态。注意均匀无耗传输线的特征阻抗为纯电阻,是实数。

行波状态是指负载阻抗等于特征阻抗,传输线无反射,此时有:

驻波状态是指负载阻抗为零(短路)、无穷大(开路)或者为纯电抗,传输线发生全反射,此时有

行驻波状态是指负载阻抗为任意值,此时有