-
1.1《卫星测控通信系统射频测试原理与方法》
-
1.2前 言
-
1.3目录
-
1.4第1章 概 论
-
1.4.11.1 卫星测控通信系统组成
-
1.4.1.11.1.1 星载测控通信系统
-
1.4.1.21.1.2 地面站系统
-
1.4.21.2 卫星测控通信系统射频测试内容
-
1.4.31.3 主要测试仪表
-
1.4.3.11.3.1 信号源
-
1.4.3.21.3.2 功率计和频率计
-
1.4.3.31.3.3 信号分析仪
-
1.4.3.41.3.4 网络分析仪
-
1.4.41.4 卫星测控通信系统射频测试发展趋势
-
1.5第2章 分贝的概念
-
1.5.12.1 分贝的定义
-
1.5.22.2 绝对分贝值
-
1.5.32.3 相对分贝值
-
1.5.42.4 分贝误差
-
1.6第3章 线性失真
-
1.6.13.1 无失真传输系统
-
1.6.23.2 带限系统的频率响应
-
1.6.2.13.2.1 理想低通滤波器
-
1.6.2.23.2.2 可实现滤波器
-
1.6.33.3 线性失真指标定义
-
1.6.3.13.3.1 系统幅频响应指标定义
-
1.6.3.23.3.2 系统时延-频率响应指标定义
-
1.6.43.4 变频器的频率响应
-
1.7第4章 非线性失真
-
1.7.14.1 放大器输入输出特性
-
1.7.24.2 无记忆放大器幂级数模型
-
1.7.34.3 单音正弦信号通过无记忆放大器
-
1.7.3.14.3.1 输出信号频率组成
-
1.7.3.24.3.2 电压增益及电压1 dB压缩点
-
1.7.3.34.3.3 功率增益及功率1 dB压缩点
-
1.7.44.4 等幅双音正弦信号通过无记忆放大器
-
1.7.4.14.4.1 输出信号频率组成
-
1.7.4.24.4.2 三阶截点
-
1.7.4.34.4.3 三阶互调
-
1.7.54.5 无记忆放大器的交叉调制
-
1.7.64.6 AM-AM与AM-PM系数
-
1.7.6.14.6.1 指标定义
-
1.7.6.24.6.2 AM-AM系数与AM-PM系数的静态测量法
-
1.7.6.34.6.3 AM-AM系数与AM-PM系数的单边带测量法
-
1.8第5章 传输线理论与网络散射参数
-
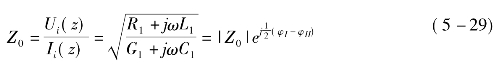
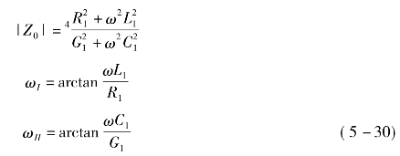
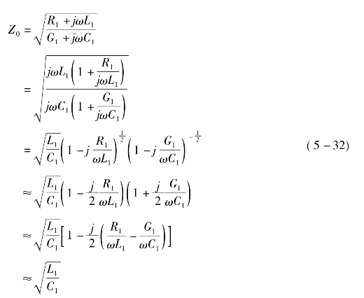
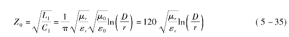
1.8.15.1 传输线理论
-
1.8.1.15.1.1 传输线基本方程及其解
-
1.8.1.25.1.2 传输线的特性参数
-
1.8.1.35.1.3 传输线输入阻抗与状态参数
-
1.8.1.45.1.4 传输线的传输功率
-
1.8.25.2 网络散射参数
-
1.8.2.15.2.1 二端口S参数定义
-
1.8.2.25.2.2 S参数的物理意义
-
1.8.2.35.2.3 二端口网络的功率传输特性
-
1.8.2.45.2.4 单端口和多端口元件的S参数
-
1.9第6章 噪声与噪声测量
-
1.9.16.1 起伏噪声的统计特性
-
1.9.26.2 噪声通过线性系统
-
1.9.36.3 热噪声与散弹噪声
-
1.9.3.16.3.1 热噪声
-
1.9.3.26.3.2 散弹噪声
-
1.9.46.4 网络噪声特性的表征
-
1.9.4.16.4.1 噪声系数
-
1.9.4.26.4.2 有源网络的等效噪声温度
-
1.9.4.36.4.3 有耗无源网络的等效噪声温度
-
1.9.4.46.4.4 级联网络的等效噪声温度和噪声系数
-
1.9.56.5 噪声的测量
-
1.9.5.16.5.1 Y系数法
-
1.9.5.26.5.2 增益法
-
1.9.5.36.5.3 冷源法
-
1.10第7章 频率准确度和稳定度
-
1.10.17.1 频率准确度
-
1.10.27.2 频率稳定度
-
1.10.37.3 相位噪声
-
1.10.3.17.3.1 调制信号为正弦波时的相位噪声
-
1.10.3.27.3.2 调制信号为随机噪声时的相位噪声
-
1.10.3.37.3.3 用频偏定义的相位噪声
-
1.10.3.47.3.4 倍频器和分频器的相位噪声
-
1.10.47.4 阿伦方差
-
1.11第8章 射频链路分析
-
1.11.18.1 天线基本电参数
-
1.11.1.18.1.1 方向函数
-
1.11.1.28.1.2 方向图
-
1.11.1.38.1.3 方向系数
-
1.11.1.48.1.4 天线效率
-
1.11.1.58.1.5 天线增益
-
1.11.1.68.1.6 等效全向辐射功率
-
1.11.1.78.1.7 接收天线有效面积
-
1.11.1.88.1.8 天线极化
-
1.11.28.2 通信方程
-
1.11.2.18.2.1 信标式通信方程
-
1.11.2.28.2.2 转发式通信方程
-
1.11.38.3 传输损耗
-
1.11.3.18.3.1 天线跟踪指向误差损耗
-
1.11.3.28.3.2 极化损耗
-
1.11.3.38.3.3 对流层引起的损耗
-
1.11.3.48.3.4 电离层引起的损耗
-
1.11.3.58.3.5 大气折射损耗
-
1.11.3.68.3.6 考虑损耗后的接收信号功率
-
1.11.48.4 系统噪声
-
1.11.4.18.4.1 接收系统等效噪声温度
-
1.11.4.28.4.2 天线噪声
-
1.11.4.38.4.3 互调噪声
-
1.11.58.5 干扰
-
1.11.5.18.5.1 邻道干扰
-
1.11.5.28.5.2 共信道干扰
-
1.11.68.6 载噪比
-
1.11.6.18.6.1 载噪比
-
1.11.6.28.6.2 载波与互调噪声功率比
-
1.11.6.38.6.3 载波与噪声加干扰功率比
-
1.11.6.48.6.4 合成上下行链路载噪比
-
1.11.6.58.6.5 合成上下行链路载波与干扰功率比
-
1.11.6.68.6.6 合成上下行链路载波与噪声加干扰功率比
-
1.12第9章 载波调制分析
-
1.12.19.1 数字基带信号
-
1.12.1.19.1.1 数字基带信号一般表达式及功率谱
-
1.12.1.29.1.2 数字基带信号常见码型
-
1.12.1.39.1.3 数字基带信号典型功率谱
-
1.12.29.2 模拟调制信号
-
1.12.2.19.2.1 调幅信号分析
-
1.12.2.29.2.2 调角信号分析
-
1.12.39.3 数字调制信号
-
1.12.3.19.3.1 ASK
-
1.12.3.29.3.2 FSK
-
1.12.3.39.3.3 PSK
-
1.12.49.4 矢量调制与解调
-
1.12.4.19.4.1 窄带信号分析
-
1.12.4.29.4.2 IQ基带信号
-
1.12.4.39.4.3 矢量调制
-
1.12.4.49.4.4 正交解调
-
1.12.59.5 数字通信基本指标
-
1.12.5.19.5.1 有效性与可靠性指标
-
1.12.5.29.5.2 EVM指标
-
1.12.69.6 统一载波信号分析
-
1.12.6.19.6.1 门限电平设计
-
1.12.6.29.6.2 载波功率分配
-
1.12.79.7 遥测信号宽带调制分析
-
1.12.7.19.7.1 遥测信号调制过程
-
1.12.7.29.7.2 遥测信号的功率谱
-
1.12.7.39.7.3 功率与调相指数的关系
-
1.13第10章 射频器件测量
-
1.13.110.1 矢量网络分析仪基本结构
-
1.13.1.110.1.1 传输参数测量结构
-
1.13.1.210.1.2 反射参数测量结构
-
1.13.1.310.1.3 传输和反射参数测量结构
-
1.13.210.2 负载测量
-
1.13.310.3 电缆测量
-
1.13.410.4 滤波器测量
-
1.13.510.5 定向耦合器测量
-
1.13.610.6 放大器非线性测量
-
1.14第11章 卫星地面站系统指标测试
-
1.14.111.1 天线系统测试
-
1.14.1.111.1.1 天线方向图测量
-
1.14.1.211.1.2 天线增益测量
-
1.14.1.311.1.3 系统等效噪声温度测量
-
1.14.1.411.1.4 接收天线G/T值测量
-
1.14.1.511.1.5 极化隔离度测量
-
1.14.1.611.1.6 端口隔离度测量
-
1.14.211.2 链路系统测试
-
1.14.2.111.2.1 电平图测量
-
1.14.2.211.2.2 增益频率响应测量
-
1.14.2.311.2.3 群时延频率响应测量
-
1.14.2.411.2.4 相位噪声测量
-
1.14.2.511.2.5 杂散测量
-
1.14.2.611.2.6 三阶互调测量
-
1.14.2.711.2.7 AM-PM系数测量
-
1.14.2.811.2.8 增益稳定性测量
-
1.14.2.911.2.9 群时延稳定性测量
-
1.14.311.3 跟踪指标测量
-
1.14.3.111.3.1 测角精度测量
-
1.14.3.211.3.2 测距精度测量
-
1.14.3.311.3.3 测速精度测量
-
1.15第12章 通信卫星有效载荷在轨测试
-
1.15.112.1 在轨测试系统基本组成及校准
-
1.15.1.112.1.1 基本组成结构
-
1.15.1.212.1.2 开关网络的作用
-
1.15.1.312.1.3 在轨测试系统的校准
-
1.15.212.2 输入输出特性
-
1.15.312.3 AM-PM系数
-
1.15.412.4 多载波互调比
-
1.15.512.5 幅度频率特性
-
1.15.612.6 群时延频率特性
-
1.15.712.7 卫星噪声
-
1.15.812.8 卫星品质因数
-
1.15.912.9 卫星信标功率和频率
-
1.15.1012.10 转发器本振频率准确度和稳定度
-
1.15.1112.11 卫星天线方向图
-
1.16附录 缩略语
-
1.17参考文献



























