1
卫星测控通信系统射频测试原理与方法
1.8.1.1 5.1.1 传输线基本方程及其解
5.1.1 传输线基本方程及其解

1)分布参数电路模型

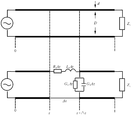
图5-1给出了双导线传输线的基本模型。它是处于无边界理想介质中的彼此绝缘的两条平行导线,两线的间距D远小于波长λ,导线的横截面沿线均匀相同,导线的直径d远小于D,线长l与波长λ可比拟,这种双导线传输线称为平行双线。

在平行双线的始端接信号源,终端接负载,同时假设平行双线不受其它电路影响,这时在一根导线上通过的电流与另一根导线上通过的电流大小相等,方向相反。

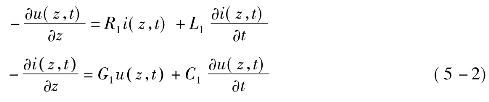
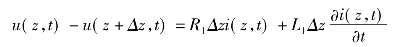
将坐标原点设在始端,在距原点z处取长度为Δz的线元,Δz远小于λ。该线元有如下参数,电感L1Δz、电容C1Δz、电阻R1Δz、电导G1Δz,其中L1、C1、R1、G1分别为单位长度的数值。

此时在Δz的线元上仍可用确定的电参数来表征,仍满足基尔霍夫电压定律和电流定律。这些参数沿双线均匀分布,称之为分布参数电路,由此建立的模型即为分布参数模型。

图5-1 平行双线分布参数电路模型

2)电报方程

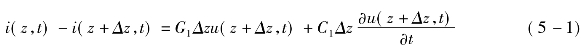
由于线元Δz远小于λ,则线元Δz可用集中参数表示,并且是时间和空间的参数。设线元Δz输入端的电压和电流分别为u(z,t)和i(z,t),输出端的电压和电流分别为u(z+Δz,t)和i(z+Δz,t)。根据基尔霍夫电压电流定律,线元Δz上的电压和电流变化为

对式(5-1)两边同时除以Δz,并令Δz趋于0,则有

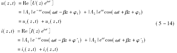
对于频率为ω的信号源,电压和电流的瞬时值u(z,t)、i(z,t)与复振幅U(z)、I(z)的关系为

将式(5-3)带入式(5-2),并消去时间因子ejωt,得

式中Z1称为单位长度的串联阻抗;Y1称为单位长度的并联导纳。

则式(5-4)变为

此即平行双线的基本方程,也称为电报方程。

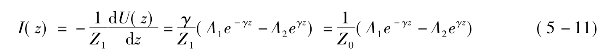
3)均匀传输线的通解

把式(5-6)两边对z求微分,得

式中 γ为传输线的传播常数;α为γ的衰减常数;β为γ的相移常数。

则式(5-7)可写为

式(5-9)的通解为

根据式(5-6),有

式中Z0为传输线的特性阻抗。Z0

则式(5-10)可写为

将式(5-13)带入式(5-3),得

式中ui(z,t)为入射波电压;ii(z,t)为入射波电流;ur(z,t)反射波电压;ir(z,t)为反射波电流。

4)均匀传输线的定解

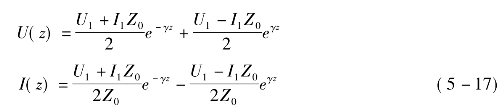
(1)已知始端条件的解

原点设在始端,根据式(5-13),有

用双曲函数可表示为

式中sh(γz)为双曲正弦函数;ch(γz)为双曲余弦函数。

sh(γz)与ch(γz)的公式为

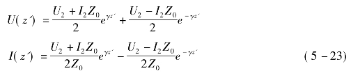
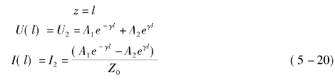
(2)已知终端条件的解

首先将原点设在始端,导线长度为l,根据式(5-13),有

可以得出

则有

即坐标原点设在终端,则

式中 第一项为终端的入射波;第二项为终端的反射波。

用双曲函数可表示为