1
卫星测控通信系统射频测试原理与方法
1.7.5 4.5 无记忆放大器的交叉调制
4.5 无记忆放大器的交叉调制

交叉调制是指一个信号上的调制信号被转移到另一个频率上。设放大器输入信号为

式中Vi为输入电压;ma为调制指数;Ω为调制频率;ω1和ω2为载波频率。

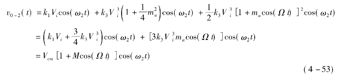
取三阶幂级数模型,则输出信号为

将上式展开后,将所有频率为ω2的项归并,有

其中

定义交叉调制系数为