1
卫星测控通信系统射频测试原理与方法
1.7.4.1 4.4.1 输出信号频率组成
4.4.1 输出信号频率组成

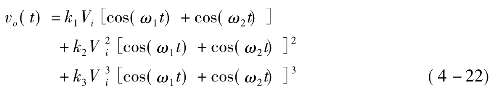
设输入信号为双音正弦信号,则有

式中 ω1和ω2必须保证在放大器的带宽内。

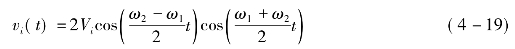
设ω2大于ω1,将其改写成如下形式:

式中 Ω远小于ω0

式(4-21)表明,双音正弦信号是一个抑制载波的窄带调幅信号。

幂级数模型取到三阶,则有:

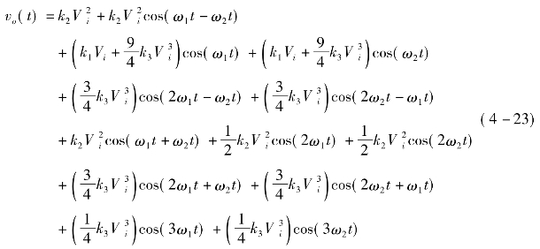
将上式其展开后得

可以看出,输出信号中包括,直流分量;基波分量ω1和ω2;二次谐波2ω1和2ω2;三次谐波3ω1和3ω2;二阶互调ω1±ω2;三阶互调2ω1±ω2和2ω2±ω1。其中三阶互调分量2ω12和2ω21与基波分量距离最近,通常落在放大器通带内,对基波分量影响最大。图4-4为输出信号中包含三阶互调分量的频谱。

图4-4 三阶互调