1
卫星测控通信系统射频测试原理与方法
1.7.3.3 4.3.3 功率增益及功率1 dB压缩点
4.3.3 功率增益及功率1 dB压缩点

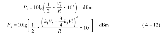
设放大器输入输出阻抗相等,根据电压与功率的关系,有

式中Pi为输入功率;Po为输出功率;k3小于0。

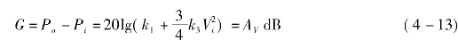
则功率增益G为

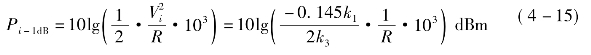
1 dB压缩点的功率增益G1dB

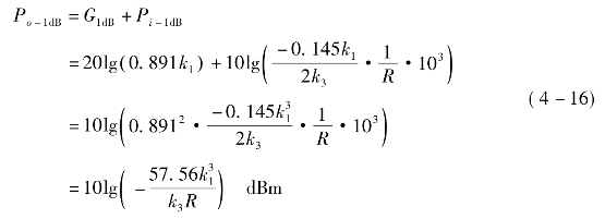
1 dB压缩点的输入功率为

1dB压缩点的输出功率为

如果取阻抗等于50Ω,则1 dB压缩点的输出功率为

功率输入输出特性曲线见图4-3。

图4-3 功率输入输出特性曲线