1
卫星测控通信系统射频测试原理与方法
1.7.3.2 4.3.2 电压增益及电压1 dB压缩点
4.3.2 电压增益及电压1 dB压缩点

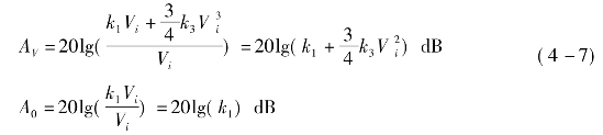
设放大器的输入信号为

根据式(4-4),放大器输出信号的基波分量为

则用分贝表示的基波电压增益为

式中AV为基波的电压增益;A0为基波的线性电压增益。AV和A0均用dB表示。

可以看出,基波电压增益不仅和线性增益k1有关,还与三次系数k3和输入信号有关。当k3大于0时,基波的增益大于其线性增益k1,称为增益扩张;当k3小于0时,基波的增益小于其线性增益k1,称为增益压缩。

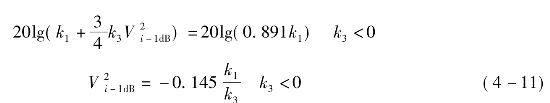
下面介绍1 dB压缩点的概念。1 dB压缩点是指当输入信号达到某一值时,实际输出功率比其线性功率低1 dB,或者说实际电压增益比线性增益降低1 dB。由此可得

式中AV-1dB为1 dB压缩点的电压增益。

因为

所以有

则可得

式中Vi-1dB为输出达到1 dB压缩点时所对应的电压输入值,此时k3必须小于0。