1
卫星测控通信系统射频测试原理与方法
1.7.3.1 4.3.1 输出信号频率组成
4.3.1 输出信号频率组成

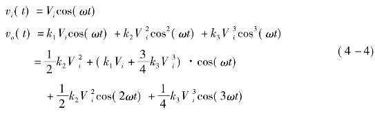
设输入信号为一单音正弦信号,幂级数模型取到三阶,则有

式中Vi为输入信号的幅度;ω为输入信号的角频率;k1、k2、k3为模型系数。

可以看出,系统的输入只有一个频率,而放大器的输出却出现了直流分量和基波的二倍频、三倍频等谐波分量。其中基波分量为有用信号,二倍频和三倍频为谐波失真。基波不但与线性增益有关,还与三次系数k3有关。二次谐波与输入的平方成正比,三次谐波与输入的三次方成正比。输出信号的频谱见图4-2。

图4-2 单音正弦信号输出频谱