1
卫星测控通信系统射频测试原理与方法
1.6.4 3.4 变频器的频率响应
3.4 变频器的频率响应

变频器,顾名思义,是一个对频率进行变换的系统。变频器的输入输出频率是不一样的。从这一点上看,变频器是一个非线性系统。不过,如果考察一下变频器所传输的信号形式,则可以得出另外一个结论。

变频器所传输的信号是窄带调制信号,其表达式如下:

式中 ωc为载波频率;at和Φt共同构成了基带信号,at代表基带信号的幅度信息,Φt代表基带信号的相位信息。

基带信号调制在载波频率上,其带宽B远小于载波频率。因此窄带调制信号是一个以ωc为中心,带宽为B的有限带宽调制信号。

变频器设计的目标是对载波进行频率变换,同时让基带信号无失真的通过。因此对于基带信号,变频器是一个线性系统。

图3-12是变频器的原理图。该图是一个示意图,仅标出了4个核心部件。滤波器1是输入滤波器,主要滤除不需要的带外信号,仅让需要的信号通过,同时会在信号变频以前引入一个时延td1;本振提供一个单一频率的本振信号;混频器实际上是一个乘法器,输入信号与本振信号相乘,得到和频信号与差频信号;滤波器2是输出滤波器,如果滤波器选择和频信号输出,则变频器是一个上变频器,如果滤波器选择差频信号输出,则变频器是一个下变频器。同时,滤波器2引入了一个变频后的时延td2

图3-12 变频器原理图

现在,分析变频器的频率响应。设图中的滤波器1为理想带通滤波器,其中心频率为ωc,带宽为B1,增益为k1,时延为td1;滤波器2也为理想带通滤波器,其中心频率为ωU(上变频器)或ωD(下变频器),带宽为B2,增益为k2,时延为td2;从而可知系统的总时延为两个滤波器时延的和。混频器为理想乘法器,其功能是仅对两个信号相乘,增益为km;本振的输出频率为ωL,初始相位为ΦL

设输入信号如下

式中xi(t)的带宽为B,小于滤波器的带宽B1和B2

信号xi(t)经过滤波器1后变为

本振信号为

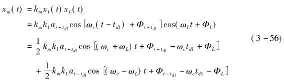
混频后的信号为

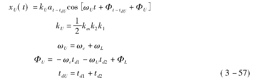
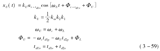
对于上变频器,经过滤波器2后,输出信号为

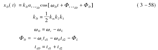
而对于下变频器,经过滤波器2后,输出信号为

可以看出,输出信号的幅度与输入信号成比例变化,即变频器的幅频响应为常数。通过测量输入输出功率的比值可得到系统的幅频响应。

输出信号的频率发生了变化,对于上变频器为ωU,对于下变频器为ωD

上下变频器的输出信号中各增加了一个固定相位值ΦU和ΦD,是一个常数。ΦU和ΦD均包含三个值,混频前的时延相位,混频后的时延相位,本振的初始相位。ΦU与ΦD的区别在于,ΦU是加上本振的初始相位,ΦD是减去本振的初始相位。在实际工作中,通过ΦU和ΦD分离出时延参数td1和td2是很难实现的。

而基带信号,不论是上变频器还是下变频器,均有一个固定的时延tdU和tdD。而且tdU和tdD都是两个滤波器时延的和,即等于系统的总时延。通过包络测量,可得到系统的总时延。

因此,可以得出结论,对于基带信号,变频器是一个线性系统。而且系统的幅频响应和时延-频率响应是可测量的。

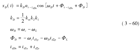
如果变频器有线性相位失真,载波相位和基带相位的时延是不一样的。对上变频器,输出信号为

对下变频器,输出信号为

式中td1e和td2e为滤波器1和滤波器2的基带信号包络时延,td1p和td2p为滤波器1和滤波器2的载波相位时延,tdUe和tdDe为基带信号经过系统后总的包络时延。

tdUe和tdDe是可测量的。